鄂尔多斯盆地南部黄土覆盖区炸药震源激发参数分析
doi: 10.20008/j.kckc.202512011
宁媛丽1,2,3 , 杨晓柳1,2,3 , 张伟1,2,3 , 赵威1,2,3 , 朱圣伟1,2,3 , 王若雯1,2,3 , 张占彬1,2,3 , 李毅1,2,3 , 吴勇1,2,3
1. 核工业航测遥感中心,河北 石家庄 050002
2. 中核集团铀资源地球物理勘查技术中心重点实验室,河北 石家庄 050002
3. 河北省航空探测与遥感技术重点实验室,河北 石家庄 050002
基金项目: 本文受中国核工业地质局“甘肃省镇原—宁夏彭阳地区物探测量项目”(202301-6)资助
Analysis of explosive source excitation parameters in the loess overcover area of the southern Ordos Basin
NING Yuanli1,2,3 , YANG Xiaoliu1,2,3 , ZHANG Wei1,2,3 , ZHAO Wei1,2,3 , ZHU Shengwei1,2,3 , WANG Ruowen1,2,3 , ZHANG Zhanbin1,2,3 , LI Yi1,2,3 , WU Yong1,2,3
1. Airborne Survey and Remote Sensing Center of Nuclear Industry, Shijiazhuang 050002 , Hebei, China
2. Key Laboratory of Airborne Survey and Remote Sensing Technology of Hebei Province, Shijiazhuang 050002 , Hebei, China
3. Key Laboratory of Geophysical Exploration Technology for Uranium Resources of CNNC, Shijiazhuang 050002 , Hebei, China
摘要
鄂尔多斯盆地南部黄土覆盖区蕴含丰富的油气、煤炭、铀矿等矿产资源,是中国重要的能源基地和产铀基地。地震勘探作为一种高精度地球物理方法,已被广泛应用于资源勘查。但南部地区表层被黄土覆盖,黄土结构疏松,固结程度差,对地震波具有强烈的吸收衰减作用,导致地震勘探存在严重的激发问题。笔者尝试通过优选炸药震源激发参数的方式,以期增强震源激发能量。采用正演模拟单炮定性分析与激发参数试验定量分析相结合的方式,从正演单炮、能量、信噪比和频谱等角度系统论述井深、药量等激发参数对地震数据的影响,优选适合该区的激发参数。基于获取的最佳激发参数开展精细化数据采集与处理,获得了高品质地震剖面,有效提升了地震勘探探测效果。
Abstract
The loess-covered area in the southern Ordos Basin is rich in oil, gas, coal, uranium, and other mineral resources, making it a crucial energy and uranium production base in China. Seismic exploration, as a high-precision geophysical method, has been widely applied in resource exploration. However, the loess-covered surface in the southern region has a loose structure and poor consolidation, which strongly absorbs and attenuates seismic waves, leading to severe excitation issues in seismic exploration. The author attempted to enhance source excitation energy by optimizing the parameters of explosive sources. Combining forward modeling of single shots for qualitative analysis with quantitative analysis of excitation parameters, the study systematically examined the effects of well depth, charge quantity, and other excitation parameters on seismic data from the perspectives of forward modeling, energy, signal-to-noise ratio, and spectrum. Suitable excitation parameters for the area were selected. Based on the optimal excitation parameters obtained, refined data acquisition and processing were conducted, resulting in high-quality seismic profiles and significantly improved seismic exploration effectiveness.
0 引言
鄂尔多斯盆地南部蕴含丰富的油气、煤炭、铀矿等矿产资源(贾斌等,2019权建平等,2023王晨等,2023)。但盆地南部地区表层被巨厚黄土覆盖 (魏永强等,2021),黄土结构疏松,固结程度差,对地震波的吸收衰减作用强烈,在黄土覆盖区开展地震勘探存在严重的激发问题。为了更有效地开展地震勘探工作,学者们在黄土覆盖区开展了大量的研究工作与实践验证,提出了二维地震弯线采集 (罗仁泽等,2009),二维宽线采集(王永奎等, 2010),非纵向二维地震勘探(杜中东等,2010)和 “蛛网状”三维采集(李俊元,2017)等多种地震观测系统,获得了较高品质的地震成像剖面。但优化观测系统对增强激发能量效果不明显。优选合适的激发参数是增强激发能量,获取高品质地震数据的关键。本文采取正演模拟单炮定性分析与激发参数试验定量分析相结合的方式,进行炸药震源激发参数优选。就炸药震源而言,激发井深、药量等参数的选取对激发能量和激发频率具有较大影响(张智等,2003)。
根据以往测井资料及表层结构调查数据,构建地震速度模型,开展激发层位和激发主频优选的正演模拟研究;在该区开展激发参数试验分析,从能量、信噪比和频谱等角度定量分析不同井深、药量等激发参数对地震数据的影响,同时将试验分析结果与正演模拟结果进行对比验证。
综合考虑正演模拟与试验分析结果,优选适合该区的炸药震源激发参数。通过对黄土覆盖区炸药震源激发参数研究,总结出一套适用于黄土覆盖区的地震勘探激发技术,以期为其他类似地区地震勘探工作提供借鉴和参考。
1 鄂尔多斯盆地南部黄土覆盖区研究概况
1.1 研究区地表条件
研究区位于鄂尔多斯盆地南部,据区内和邻近钻孔揭露资料,区内地层由老到新有中侏罗统延安组、中侏罗统直罗组、下白垩统洛河组、下白垩统环河组、下白垩统罗汉洞组、下白垩统泾川组及第四系。其中,下白垩统环河组是勘探目标层位。
研究区地表多被黄土覆盖,黄土结构疏松,固结程度差,对地震波能量具有强烈的吸收衰减作用;此外,黄土厚度变化剧烈、地形起伏大,地表黄土的稳固性较差,导致重型车辆通行受限。因炸药震源具有良好的脉冲特性、高能量及受地表条件影响小的特点(张安博,2018),在该区开展地震勘探时适合采用炸药震源。
1.2 研究区表层结构特征
为了解研究区表层结构特征,对低、降速带的厚度、速度进行测定,为精确构建地震速度模型提供数据依据。在研究区内选择了5口井进行微测井工作。调查结果(表1)显示,区内低速带速度 V1小于400 m/s,厚度3~4 m;降速带速度V2为483~812 m/ s,平均速度 647 m/s 左右;降速带厚度 10.98~14.97 m,平均厚度 12.97 m,降速带厚度较大,低、降速带厚度之和大于16.5 m。
1研究区低速带调查结果统计
1.3 研究区物性特征
对研究区测井资料进行统计分析,编制了鄂尔多斯盆地南部不同岩层的密度、波速和波阻抗等物性特征参数表(汪来和宁媛丽,2023表2)。
分析物性参数表可知,环河组底部砾岩波阻抗值较大,与下伏地层之间存在较大波阻抗差异,能够形成较强的地震波反射;环河组顶部泥岩和上覆钙质砂岩之间存在波阻抗差异,能够形成反射。上述密度、速度特征是研究区内划分地层及岩性的重要依据,为区内开展地震勘探奠定了物性基础,也是构建地震速度模型的数据来源。
2鄂尔多斯盆地南部地区物性参数统计
2 基于模型的炸药震源激发参数正演模拟
2.1 地震速度模型构建
结合该研究区以往的钻孔资料及表层结构调查数据,建立研究区地震速度模型(图1)。模型中主要反射地层的地球物理参数如表3所示,模型长 4000 m,深度 1000 m,地震探测的目标层大概在深度为780 m处的环河组地层。
1研究区地震速度模型
1 —第四系;2—下白垩统泾川组;3—下白垩统罗汉洞组;4—下白垩统环河组;5—下白垩统洛河组;6—低速带;7—降速带
3研究区地球物理参数
2.2 激发层位优选
基于构建的研究区地震速度模型,进行黄土覆盖区激发层位优选的波动方程有限差分正演模拟研究。采用道间距 10 m、炮间距 20 m、中间激发两边接收的观测系统,分别对激发层位为 5、10、15、 20、25和30 m共6种情况进行正演模拟,Ricker子波主频为 40 Hz,采用点源激发,图2为通过正演模拟得到的正演单炮记录。
2不同激发层位正演单炮记录
对比分析不同激发层位获取的正演单炮记录可知,激发层位为5 m时,线性干扰、面波十分发育,目标层反射波能量较弱,正演单炮记录质量较差; 随着激发层位的增加,线性干扰、面波影响逐渐减小,且当激发层位处于低、降速带之下时,面波干扰小,激发效果较好;目标层底界面反射波能量随着激发层位的增加也逐渐增强,当激发层位位于低、降速带之下时,能量增强幅度已不明显。综合考虑面波影响及目标层能量需求,黄土覆盖区激发层位的选取应位于低、降速带之下。
2.3 激发主频优选
基于构建的研究区地震速度模型,进行黄土覆盖区激发主频优选的波动方程有限差分正演模拟研究。采用道间距 10 m、炮间距 20 m、中间激发两边接收的观测系统,分别对激发主频为20、30、40、50、 60 和 70 Hz 共 6 种情况进行正演模拟,激发层位为 20 m,采用点源激发,图3为获取的正演单炮记录。
对比分析不同激发主频获取的正演单炮记录可知,激发主频为20 Hz时,目标层底界面反射波同相轴连续性较差,目标层底界面反射波能量较弱,单炮记录质量较差。随着激发主频的增加,目标层底界面反射波同相轴连续性增强,反射能量增大。因此,理论上激发主频越高,激发效果越好,但巨厚黄土对地震波高频成分衰减作用更为强烈,当激发主频过高时,反而降低了地震数据的分辨率。综合考虑激发能量和目标层同相轴连续性,在保证地震数据具有较高分辨率的前提下,尽可能提高激发主频。
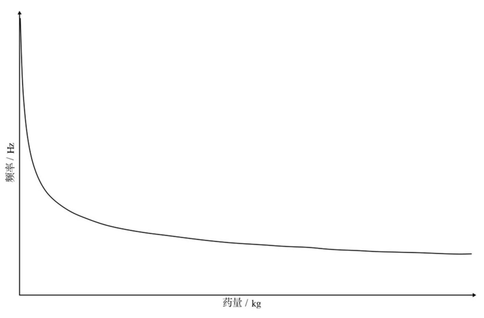
激发子波的主频与激发药量之间存在如下经验公式(李袖臣,2009):
fM=kQ-1/3
(1)
式(1)中,fM为激发子波的主频(Hz),Q 为激发药量(kg),k为比例系数。
k=1时,激发子波的主频fM与激发药量Q之间的关系曲线如图4所示。分析可知,随着激发药量的增加,激发主频降低,当药量超过一定数值后,关系曲线变化趋于平缓。因此,药量越小对产生高频、拓展频带宽度越有利。在保证目标层能量需求的前提下,应适当减少激发药量,保留更多高频信号成分,拓展地震数据的频带宽度,提高地震数据分辨率。
3不同激发主频正演单炮记录
4激发药量与激发主频关系曲线示意图
3 研究区激发参数试验分析
根据微测井调查结果可知,S1点、S2点处低、降速带厚度较大,对炸药震源激发效果要求高,为了优选适合黄土覆盖区的最佳激发参数,在微测井S1 处、S2 处开展了炸药震源激发参数试验,主要试验内容包括井深试验、药量试验,同时将试验分析结论与正演模拟结果相互补充、相互验证。
3.1 S1点井深试验效果分析
S1 点处低、降速层总厚度为 18.99 m。采用道间距 10 m、接收道数 288 道、采样率 0.5 ms、记录长度 1.4 s、药量 6 kg等参数,开展了 16 m、18 m、20 m、 22 m和24 m共5种井深试验。
分析不同井深的原始单炮记录(图5)可知,当激发层位位于低、降速层内时,原始单炮记录面波较发育。目标层同相轴(红色椭圆)连续性较差,当激发层位穿透低、降速层后,面波影响降低,同相轴连续性增强。根据能量分析图显示(图6a),随着井深的增加,原始单炮记录能量逐渐增强,但增强幅度有限。根据信噪比分析图显示(图6b),在高频 50 Hz 部分和低频 25 Hz 部分不同井深激发信噪比变化不明显,在中频35 Hz部分16~24 m井深激发信噪比先增大后减小,以20 m井深最高。研究区内目标层底板埋深为750~1100 m,由频谱分析可知该深度上对应主频以 35 Hz 的中频为主,在目标层主频带(35 Hz)内,选取井深20 m时目标层信噪比最高。根据频谱分析可知(图7),选取井深20 m时,频带宽度最宽。综合考虑激发能量、资料信噪比、频谱等,本文选择 20 m 井深激发。根据表层结构调查结果可知,20 m井深位于低、降速带下方,激发参数试验的分析结论与正演模拟研究结论基本相符。
5不同井深试验原始单炮记录对比图
6不同井深试验参数分析
a—能量分析图;b—信噪比分析图
7不同井深频谱分析图
3.2 S2点药量试验效果分析
采用道间距 10 m、接收道数 288 道、采样率 0.5 ms、记录长度1.4 s、井深20 m等参数,开展了2 kg、4kg、6 kg、8 kg和10 kg共5种药量试验。
分析不同药量情况下获取的原始单炮记录(图8)可知,采用 2 kg药量激发,目标层同相轴(红色椭圆)连续性较差,信噪比较低。根据能量分析图显示(图9a),随着药量的增加,原始单炮记录能量逐渐增强。根据信噪比分析图显示(图9b),在低频 25 Hz部分,不同药量激发信噪比变化不明显,在中频 35 Hz 部分 2~10 kg 药量激发信噪比先增大后减小,以 6 kg和 8 kg信噪比较高,在高频 50 Hz部分,2 kg 和 4 kg 药量激发,信噪比较低,其余不同药量激发信噪比变化不大。在目标层主频带(35 Hz)内,选取药量6 kg与8 kg时目标层信噪比较高。根据频谱分析可知(图10),采用 6 kg 与 8 kg 药量激发时,具有较宽的频带。综合考虑激发能量、资料信噪比,频带宽度等因素,激发药量为 6 kg与 8 kg时激发效果较好。根据数值模拟正演结论可知,小药量对保留高频信号成分,拓展地震数据频带宽度更为有利,因此本文选取选择6 kg药量激发。
8不同药量试验原始单炮记录对比图
4 应用效果分析
通过定性分析正演单炮记录与定量分析试验单炮记录相结合的方式,确定了最佳激发参数:井深为20 m,药量为6 kg,并将该激发参数严格应用于数据采集中。基于获取的地震数据,开展精细化数据处理与解释,获得了较高品质的地震成果剖面 (图11)。通过精细层位标定与追踪,该区共厘定 5 个反射界面,由浅到深依次为TK1lhTK1hTK1lTJ2zTJ2y。其中TK1lh为罗汉洞组底板界面,TK1h为环河组底板界面,TK1l为洛河组底板界面,TJ2z为直罗组底板界面, TJ2y为延安组底板界面。
9不同药量试验参数分析图
a—能量分析图;b—信噪比分析图
10不同药量频谱分析图
经钻探验证,地震解释成果与钻探揭露情况基本一致(表4),层位解释误差基本为 0~9 m,解释相对误差小于钻孔揭露埋深的 2%,具有较高的勘探精度。高精度地震勘探成果充分说明了本区炸药震源激发参数选取合理,保证了采集资料的信噪比,有效提升了地震勘探效果。
4地震解释埋深与钻孔揭露埋深误差统计
5 结论
(1)精细表层结构调查是开展黄土覆盖区地震勘探的基础,通过微测井调查,获取研究区表层结构特征,为炸药震源激发层位的选取提供依据。
(2)黄土覆盖区采用炸药震源开展地震勘探时,通过定性分析正演单炮记录和定量分析地震数据的频率、信噪比和能量相结合的方式,综合考虑研究区地质条件等情况,本文选取激发井深 20 m、激发药量6 kg,获得了高品质的地震数据。
11研究区叠加时间剖面地质解释图
1—第四系;2—下白垩统罗汉洞组;3—下白垩统环河组;4—下白垩统洛河组;5—中侏罗统安定组和下侏罗统直罗组;6—下侏罗统延安组; 7—三叠系;8—钻孔及编号
(3)黄土覆盖区采用炸药震源开展地震勘探时,激发层位的选取应处于低、降速带之下,有助于压制面波干扰和线性干扰,进而提升地震资料的信噪比。
(4)黄土覆盖区采用炸药震源开展地震勘探时,激发药量越高,激发能量越强,但激发主频会随着激发药量的增加而降低。综合考虑药量、能量、频谱及黄土区地表条件,在保证目标层能量需求的前提下,应适当减少激发药量,保留更多高频信号成分,拓展地震数据频带,提高地震数据的分辨率。
注释
① 汪来,宁媛丽 .2023. 甘肃省镇原—宁夏彭阳地区物探测量[R]. 石家庄:核工业航测遥感中心.
1研究区地震速度模型
2不同激发层位正演单炮记录
3不同激发主频正演单炮记录
4激发药量与激发主频关系曲线示意图
5不同井深试验原始单炮记录对比图
6不同井深试验参数分析
7不同井深频谱分析图
8不同药量试验原始单炮记录对比图
9不同药量试验参数分析图
10不同药量频谱分析图
11研究区叠加时间剖面地质解释图
1研究区低速带调查结果统计
2鄂尔多斯盆地南部地区物性参数统计
3研究区地球物理参数
4地震解释埋深与钻孔揭露埋深误差统计
杜中东, 邓述全, 汪兴业, 周夏丽, 腾永珍, 刘于东. 2010. 黄土塬非纵地震勘探技术及其应用[J]. 石油地球物理勘探,45(1):35-41.
贾斌, 高树志, 罗佳竺, 祁欢欢, 郭钰颖. 2019. 鄂尔多斯煤矿矿山地质环境问题与防治策略——以鄂尔多斯中南部一煤矿为例[J]. 矿产勘查,10(1):136-139.
李俊元. 2017. 厚黄土区地震资料提高信噪比处理技术研究与应用[D]. 北京: 中国石油大学.
李袖臣. 2009. 地震勘探中炸药震源激发技术综合研究[D]. 北京: 中国地质大学(北京).
罗仁泽, 梁黎明, 吴希光, 周翼, 陈猛. 2009. 宽线大组合理论及其在黄土塬地震采集中的应用[J]. 地质与勘探,29(3):54-56.
权建平, 武正乾, 毛宁, 刘坤鹏. 2023. 鄂尔多斯盆地南部镇原地区铀成矿地质特征与控矿因素分析[J]. 铀矿地质,39(6):950-959.
王晨, 张惠, 姚志刚. 2023. 鄂尔多斯盆地富县地区延长组长 6、长 7 储层特征及有利区预测[J]. 矿产勘查,14(2):163-173.
王永奎, 殷全增, 李攀峰. 2010. 地震弯线技术在地形复杂地区煤田勘探中的应用[J]. 中国煤炭地质,22(5):59-62.
魏永强, 江成泽, 常树帅, 娄汉生, 牛稳, 曹泽欣. 2021. 综合物探方法在陕西富县地区铀矿勘查中的应用[J]. 矿产勘查,12(3):710-717.
张安博. 2018. 可控震源与炸药震源在宁夏红寺堡地区的适用性研究[D]. 北京: 中国地质大学(北京).
张智, 刘财, 邵志刚. 2003. 地震勘探中的炸药震源药量理论与实验分析[J]. 地球物理学进展,18(4):724-728.