-
0 引言
-
地下水因其分布广泛、供给稳定、水质优良而成为主要供水水源。随着国家工业化的发展,工业三废的大量排放使地下水污染问题日益突出(贾秀阁和刘灵钰,2022)。保护好地下水环境对缓解水资源供需矛盾、支撑经济社会高质量发展具有重要意义 (吴荣霞,2016;吴鹏飞等,2017;吕文斌,2020)。地下水环境影响评价是从源头预防地下水污染的重要手段之一,其主要任务是分析、预测和评价项目建设期、运营期和服务期满后对地下水水质可能造成的影响,并有针对性地制定地下水污染防控措施及跟踪监测计划,可为地下水环境保护提供科学依据(中华人民共和国环境保护部,2011;焦剑妮等, 2017;马佳等,2020;陶雯,2021;陈鸿汉等,2022)。
-
地下水环境影响评价可通过数值法和解析法进行污染物预测(梅杰等,2019;晏西军,2022)。解析法简单方便,参数要求较少,但精度较低,计算结果误差偏大。数值法需水文地质参数较多,建模过程复杂,但计算精度高,更符合实际情况,是地下水定量分析研究的重要手段(金晓文等,2014;陈书客等,2019;梁斌,2019;梅杰等,2019;谢勇丽等, 2020;陈雳华等,2022;顾正聪等,2022)。本文以某规划产业园为例,在研究产业园水文地质条件的基础上,采用GMS三维地下水流数值模拟软件建立研究区水流和溶质运移数值模型,预测非正常状况条件下产业园特征污染因子在地下水中的运移特征、浓度变化情况。预测结果有利于针对性地制定地下水监测计划及污染防控措施,对园区周边居民用水安全意义重大。
-
1 研究区水文地质条件
-
研究区处于河北平原水文地质区冲积、湖积平原孔隙水亚区,地下水类型为松散岩类孔隙水,以地层层序划分为第Ⅰ~Ⅳ含水层。第Ⅰ含水层底界相当于全新统底界,含水层底板平缓,埋深 30~40 m,含水层岩性以细砂、粉砂为主,地下水主要通过大气降水入渗补给、蒸发消耗,地下水流向为自东南向西北,径流微弱,年内水位变化幅度较小。第 Ⅱ含水层底界相当于上更新统底界,底板埋深 80~180 m,含水层岩性以细砂为主,地下水矿化度在2~5 g/L 之间,为咸水,不具有开发利用价值。第Ⅲ含水层底界相当于中更新统底界,埋深240~340 m,含水层岩性以细砂、中细砂为主,为主要的开采层位。第Ⅳ含水层相当于下更新统底界,底板埋深 420~480 m,开发利用程度低。
-
2 地下水流场数值模拟
-
2.1 水文地质概念模型
-
本研究中地下水环境影响评价保护目标主要为园区及其地下水径流下游方向的潜水含水层、具有饮用水开发利用价值的第Ⅲ含水层及村庄居民集中式饮用水源井。因研究区Ⅰ~Ⅳ含水层之间隔水层以粉质黏土、粉土和黏土为主,隔水性能良好,含水层间水力联系微弱,第Ⅲ含水层受到污染的可能性较小。因此,确定本研究中模拟含水层为第Ⅰ 含水层,将模型概化为一层结构。第Ⅰ含水层底板埋深30~40 m,确定模拟深度为40 m。
-
研究区北边界平行于地下水等水位线概化为二类边界,为侧向排泄边界;东北部垂直于地下水等水位线,概化为零流量边界;东南部以子牙河为界概化为河流边界;南部边界概化为二类边界,为侧向补给边界;西部垂直于地下水等水位线,概化为零流量边界。模型顶部边界为地表,通过该边界潜水与地下水系统外发生垂向水量交换,如接受大气降水入渗补给和蒸发排泄等。含水层底部以粉质黏土、粉土和黏土为主,渗透性差,隔水性能良好,构成了潜水含水层的隔水底板,底边界概化为隔水边界。
-
研究区地下水补给项主要包括降水入渗补给、灌溉回渗补给、边界侧向流入及河流补给,排泄项主要包括边界侧向流出及潜水蒸发排泄,地下水流场相对稳定,补给量和排泄量大致相当,可将其视为稳定流;参数随空间变化,体现了系统的非均质性;在水平方向上,参数没有明显的方向性,可视为水平各向同性。
-
综上所述,研究区地下水流系统的概念模型可概化为非均质、水平各向同性、二维结构、稳定地下水流系统。
-
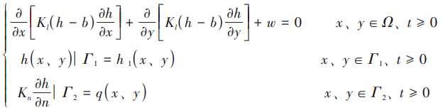
2.2 地下水水流数学模型
-
对于上述地下水流系统,可采用如下数学模型来描述:
-
式(1)中:Ω—渗流区域;h—含水层的水位标高 (m);b—含水层底板标高(m);Kl —水平渗透系数 (m/d);w—含水层潜水面垂向交换的水量(m/d);Kn —边界面法向方向的渗透系数(m/d);Γ1—渗流区域的一类边界;h1( x、y)—一类边界的水头分布 (m);Γ2—渗流区域的二类边界;n-边界面的法线方向;q—Γ2边界的单宽流量,流入为正,流出为负,隔水边界为0(m/d)。
-
2.3 地下水流数值模型
-
模拟采用三维地下水流数值模拟系统 GMS (Groundwater Modeling System) v7.1 中的 MODFLOW模块进行求解数学模型。对研究区进行矩形网格剖分,共剖分有效网格31801个,网格大小为 30 m×30 m。网格剖分情况见图1。根据研究区地质与水文地质条件分析,结合地形地貌、水文地质勘探资料及野外水文地质试验的结果,将研究区渗透系数分为2个区(图2)。
-
图1 研究区网格剖分图
-
模型的识别和验证是模型准确反映实际水文地质条件的关键步骤之一,本研究分别从地下水流场、观测孔水位、水均衡及水文地质参数方面进行模型识别与验证。模拟地下水流场与实测流场接近,拟合效果良好,反映了实际流场特征(图3)。研究区内 14 个观测井的模拟水位和实测水位构成的散点分布在45°直线附近,匹配较好(图4)。模拟的均衡项与实际各均衡项误差较小(表1)。经模型识别验证的水文地质参数符合勘查认识(表2)。通过识别与验证的地下水流数值模型能准确反映实际水文地质条件,可利用其预测地下水污染物迁移情况。
-
图2 研究区渗透系数分区
-
图3 流场拟合图
-
3 地下水溶质运移模型
-
3.1 溶质运移数学模型
-
研究区内的自然条件相对稳定,主要表现在降雨量、蒸发量等气象要素年际变化不大,模拟区内地下水未来开采量变化不大。因此,可认为评价区地下水系统的源汇项基本不变,对泄漏事故下污染物在地下水中的迁移预测,可基于前面已建的地下水水流模型的源汇项条件和含水层特征。本研究中地下水污染物模拟预测过程仅考虑污染物在含水层中的对流和弥散作用,不考虑污染物在含水层中的吸附、挥发、生物化学反应,模型中各项参数予以保守性考虑。地下水中溶质运移的数学模型可表示为:
-
图4 观测井实测水位与模拟水位对比
-
式(2)中:Dij = αijmnVmVn |V|;αijmn—含水层的弥散度;Vm,Vn—分别为 m 和 n 方向上的速度分量;|V| —速度模;C—模拟污染质的浓度(mg/L);ne—有效孔隙度;C'—模拟污染质的源汇浓度(mg/L);W—源汇单位面积上的通量;Vi —渗流速度(m/d)。
-
3.2 溶质运移模型参数确定
-
影响溶质在地下水中运移的主要水文地质参数包括弥散度和有效孔隙度。孔隙度决定渗流速度进而控制溶质对流迁移,第 I 含水层岩性主要为细砂,结合经验值,将其有效孔隙度取值为0.21(中华人民共和国环境保护部,2011)。由于含水介质的非均质性和水动力弥散尺度效应的存在,难以通过野外或室内弥散试验获得真实的弥散度(吴耀国等,1995;董贵明等,2017;宫玥等,2019)。本研究模拟参考前人研究成果(Gelhar et al.,1992;孙启明等,2022),按照偏保守的评价原则,纵向弥散度参数值取10 m,将水平横向弥散度取为纵向弥散度的 0.1,垂直横向弥散度取为纵向弥散度的0. 01。
-
4 地下水环境影响预测
-
4.1 预测情景设定与源强分析
-
产业园以绝热节能材料产业为主导产业,地下水主要污染源为企业生产废水及居民生活污水,污水主要污染物为 COD 及氨氮。根据产业园总体规划说明书,园区内将建设污水处理厂,规划处理规模 1.85×104 m3 /d,区内污水将送入污水处理厂集中处理,排向污水处理厂的水质应达到《污水排入城市下水道水质标准》。因此,本研究选取拟建的污水处理厂作为污染源,选取 COD、氨氮作为特征因子进行预测。
-
预测污水中污染物浓度取《污水排入城市下水道水质标准》(中华人民共和国国家质量监督检验检疫总局和中国国家标准化管理委员会,2015)中最高允许浓度:COD 浓度为 500 mg/L,氨氮浓度为 45 mg/L。一般污水处理池因水泥老化或基础不均匀沉降出现裂缝,如果裂缝太多,出现大量渗水,污水池的计量仪器会有所反应,生产单位将会修复。根据人们对误差的认识,当裂缝面积小于总面积 0.3% 时不易发觉(刘国东等,2014)。因此,参考最严格的水准测量允许误差标准,假设本项目污水池在运营后期池底出现 0.3%的裂缝。废水渗漏进入地下水的量按泄漏量的50%考虑,按最大处理规模计算,则
-
COD渗漏量为:
-
氨氮渗漏量为:
-
4.2 影响预测
-
(1)污染物COD的运移预测
-
污水处理池在非正常状况下污水持续渗漏,污染物 COD 对地下水影响范围持续扩大。至污染物 COD 泄漏 20 a 后,影响范围 9214 m2,超标范围 9069 m2,最大运移距离 106 m,污染羽中心浓度 10945.97 mg/L,超标 3647 倍。模拟期内污染物未运移至园区边界及地下水保护目标处,不会对园区外地下水水质产生影响。各预测阶段污染物运移情况见表3、图5。
-
泄漏点下游约 30 m 处 COD 浓度变化情况见图6。污染物浓度变化曲线表明,污染物持续泄漏100 d 时已扩散至下游 30 m处,污染物浓度为 2.28 mg/L。至污染物持续泄漏 20 a,泄漏点下游约 30 m处污染物最大浓度2008.79 mg/L,超标倍数达668倍。
-
(2)污染物氨氮的运移预测
-
污水处理池在非正常工况下污水持续渗漏,污染物氨氮对地下水影响范围持续扩大。至污染物氨氮泄漏20年后,影响范围9034 m2,超标范围8721 m2,最大运移距离93 m,污染羽中心浓度983.83 mg/ L,超标 1966 倍。模拟期内污染物未运移至园区边界及地下水保护目标处,不会对园区外地下水水质产生影响。各预测阶段污染物运移情况见表4、图7。
-
泄漏点下游约 30 m 处氨氮浓度变化情况见图8。污染物浓度变化曲线表明,污染物持续泄漏约 100 d时扩散至下游30 m处,污染物浓度为0. 04 mg/L。至污染物持续泄漏 20 a,泄漏点下游约 30 m处污染物最大浓度180.51 mg/L,超标倍数达360倍。
-
5 结论
-
(1)本研究运用地下水数值模拟软件GMS建立研究区水流和溶质运移数值模型,从地下水流场、观测孔水位、水均衡及水文地质参数方面对模型进行识别与验证,表明所建立的模型基本符合研究区实际水文地质条件,利用该数值模型预测规划产业园特征污染因子的运移扩散规律,可以作为地下水环境影响评价的依据。
-
图5 污水处理池破损污染物COD在地下水迁移预测图
-
a—100 d污染羽运移分布图;b—1000 d污染羽运移分布图;c—5 a 污染羽运移分布图;d—10 a污染羽运移分布图; e—15 a污染羽运移分布图;f—20 a污染羽运移分布图
-
图6 泄漏点下游约30 m处地下水中污染物COD浓度随时间变化曲线
-
(2)选取非正常状况下污水处理池破损、污水持续渗漏的典型污染泄漏情景进行地下水环境影响预测,预测结果表明:污染物持续泄漏将造成下游局部范围地下水持续污染,持泄漏 100 d 时已扩散至下游 30 m 处,至模拟期 20 a,COD、氨氮的最大运移距离分别为106 m、93 m,超标范围分别为9069 m2、8721 m2,由于地下水径流缓慢,迁移距离及影响范围较小。模拟期内污染物未运移至园区边界及地下水保护目标处,不会对园区外地下水水质产生影响。
-
图7 污水处理池破损污染物氨氮在地下水迁移预测图
-
a—100 d污染羽运移分布图;b—1000 d污染羽运移分布图;c—5 a 污染羽运移分布图;d—10 a污染羽运移分布图;e—15 a污染羽运移分布图;f—20 a污染羽运移分布图
-
图8 泄漏点下游约30 m处地下水中污染物氨氮浓度随时间变化曲线
-
参考文献
-
Gelhar L W, Welty C, Rehfeldt K R. 1992. A critical review of data on field-scale dispersion in aquifers[J]. Water Resources Research, 28(7): 1955-1974.
-
陈鸿汉, 梁鹏, 刘明柱 . 2022. 新时期地下水环境影响评价工作思考 [J]. 环境影响评价, 44(2): 24-27.
-
陈雳华, 张弛, 郑凌云, 付高平, 张蔚. 2022. 基于GMS软件的河谷盆地型工业园区地下水污染控制模拟[J]. 环境污染与防治, 44 (8): 1025-1029.
-
陈书客, 崔萌, 祁欢欢. 2019. Modflow软件在矿山地质环境保护与恢复治理方案中的应用——以鄂尔多斯盆地某油田为例[J]. 矿产勘查, 10(11): 2799-2803.
-
董贵明, 常大海, 田娟, 曹恩伟 . 2017. 弥散尺度效应的试验研究进展及展望[J]. 水文, 37(2): 8-13, 25.
-
宫玥, 张敏, 任宇, 郭彩娟, 孙琳 . 2019. 砂箱弥散试验尺寸效应及弥散度尺度效应[J]. 地球科学与环境学报, 41(6): 748-756.
-
顾正聪, 黄倩, 李芳. 2022. 某项目地下水环境影响评价预测工况设定及预测结果对比分析[J]. 环境科学导刊, 41(6): 80-86.
-
贾秀阁, 刘灵钰 . 2022. 河南省浅层地下水水化学特征研究[J]. 矿产勘查, 13(7): 957-966.
-
焦剑妮, 张志永, 庄健鸿, 高启凤, 李小华 . 2017. 煤化工项目建设对地下水环境影响研究[J]. 环境工程, 35(Sl): 522-527.
-
金晓文, 曾斌, 刘建国, 向绍棚, 陈植华 . 2014. 地下水环境影响评价中数值模拟的关键问题讨论[J]. 水电能源科学, 32(5): 23-28.
-
梁斌 . 2019. 某规划区地下水环境影响评价研究[J]. 铀矿地质, 35 (1): 59-64.
-
刘国东, 黄玲玲, 邢冰, 徐涛. 2014. 典型建设项目地下水污染源识别与源强计算[J]. 环境影响评价, (4): 42-46, 51.
-
吕文斌 . 2020. 基于数值模拟的永年县工业园区地下水环境影响评价[D]. 北京: 中国地质大学(北京).
-
马佳, 孙禄健, 王宏, 宋振涛. 2020. 基于山区水文地质条件下燃煤电厂贮灰场地下水生态环境影响预测[J]. 矿产勘查, 11(3): 604-609.
-
梅杰, 刘国东, 夏成城, 胡月, 刘稳 . 2019. 数值法与解析法在地下水环境影响评价中的应用研究[J]. 灌溉排水学报 , 38(8): 107-112.
-
孙启明, 高茂生, 党显璋. 2022. 垃圾填埋场渗滤液变密度地下水溶质运移模拟[J]. 吉林大学学报(地球科学版), 52(4): 1265- 1274.
-
陶雯 . 2021. 地下水环境影响评价技术研究[J]. 资源节约与环保, (4): 40-41.
-
吴鹏飞, 彭展, 陈小婷. 2017. 基于GMS的数值模拟在某化工园地下水环境影响评价中的应用[J]. 资源环境与工程 , 31(6): 728-734.
-
吴荣霞 . 2016. 东光县工业园区开发对地下水环境影响评价研究 [D]. 北京: 中国地质大学(北京).
-
吴耀国, 田春声, 李俊亭 . 1995. 对弥散试验的几点新认识[J]. 西安工程学院学报, (4): 37-40.
-
谢勇丽, 张静, 向阳 . 2020. 锰矿废石场地下水溶质运移模拟研究 [J]. 环境科学与管理, 45(4): 44-49.
-
晏西军 . 2022. 数值法与解析法在地下水溶质运移中的应用分析 [J]. 资源信息与工程, 37(5): 35-38.
-
中华人民共和国国家质量监督检验检疫总局, 中国国家标准化管理委员会 . 2015. 污水排入城镇下水道水质标准(GB/T 31962- 2015)[S]. 北京: 中国标准出版社.
-
中华人民共和国环境保护部. 2011. 环境影响评价技术导则地下水环境(HJ610-2011)[S]. 北京: 中国环境出版社.
-
摘要
在地下水环境影响评价中,数值模拟的方法是定量评价地下水中污染物运移扩散规律、污染范围及浓度分布的重要手段。本文以某规划产业园为例,运用GMS三维地下水数值模拟软件建立研究区水流和溶质运移数值模型,预测污水处理池非正常状况下污水持续渗漏,污染物COD、氨氮对地下水环境的影响。结果表明:污染物持续泄漏将造成下游局部范围地下水持续污染,至模拟期20年,COD、氨氮的最大运移距离分别为 106 m、93 m,超标范围分别为 9069 m2 、8721 m2 ,由于地下水径流缓慢,迁移距离及影响范围较小。预测结果可为地下水监测及保护提供科学依据,亦可为类似水文地质条件下的地下水环评工作提供参考。
Abstract
For groundwater environmental impact assessment, numerical simulation is an important method to quantitatively evaluate the flow and solute transport in a groundwater system. In this paper, a planned industrial park is taken as the research object and a numerical model for water flow and solute transport is established based on GMS. It predicts the migration of COD and ammonia nitrogen in the groundwater system under abnormal conditions in the sewage treatment pool. The results show that the continuous leakage of pollutants will cause continuous pollution of groundwater in local areas. By the simulation period of 20 years, the maximum horizontal migration distance of COD is 106 m and ammonia nitrogen is 93 m; the maximum distribution area of contamination halo of COD and ammonia nitrogen in groundwater is about 9069 m2 and 8721 m2 , respectively. Due to the groundwater flow is slow, migration distance and distribution area of contamination halo is small. The prediction results can provide scientific basis for groundwater monitoring, protection and reference for groundwater environmental assessment works under similar hydrogeological conditions.
