-
0 引言
-
受限于经济发展水平与处理技术,露天堆放、填坑方式消纳垃圾的填埋法仍是处理生活垃圾的主要方式(张士宽等,2017),采用这种处理方式的垃圾填埋场会产生大量的垃圾渗滤液(潘松青等, 2017)。非正规生活垃圾填埋场未采取防渗、雨污分流、压实、覆盖等工程措施(郜洪强等,2009),经降水渗淋作用产生的高浓度成分复杂的垃圾渗滤液极易造成土壤、地表水及地下水环境污染(胡馨然等,2019),已成为地下水重点污染源之一(刘国等,2019)。
-
生活垃圾填埋场地下水污染具有过程缓慢、不易发现和难以治理的特点(闫喜凤等,2022),渗滤液泄露造成的地下水污染将严重威胁地下水安全及周边生态环境(王松涛等,2021)。对于地下水污染一般采用单一方法对污染程度进行评价,少有将多种方法对比评价与地下水功能性评价综合研究。为更加客观、准确的评价某非正规生活垃圾填埋场对浅层地下水环境影响,本文采用单项组分法(王炜,2016)、综合指数法(初娜等,2016)、模糊评价法 (韩亚等,2020),评估浅层地下水环境质量,采用内梅罗综合指数法(冯林娜,2022)开展饮用水水质评价,通过成垢作用、腐蚀作用、起泡作用开展工业用水评价,采用钠吸附比、灌溉系数开展农业用水评价。在基础水文地质条件基础上,评价浅层地下水环境污染程度,开展水质功能评价,为同类型污染场地地下水水质评价提供了参考。
-
1 研究区概况
-
本次研究针对的垃圾填埋场原为废弃砖瓦厂,经多年挖土制砖已形成 3 个约 6 m 深的大坑,坑底未进行任何防渗处理即直接堆放城市生活垃圾,垃圾堆放量约 12×104 m3。在降水淋滤作用下形成大量垃圾渗滤液,从而对周边地下水环境造成破坏。
-
研究区属大陆性季风气候,多年平均降水量 1189.90 mm,多年平均蒸发量 1735.99 mm,相对丰沛的降水为构成垃圾渗滤液的重要组成。研究区地下水主要赋存在第四系松散堆积物中,属松散岩类孔隙水。含水层可分为浅层和中深层(表1),浅层含水层为黄河改道携大量泥沙冲积形成一条由西北流向东南的含水砂层,中深层含水层岩性为细砂、粉细砂。地下水水位监测表明,垃圾填埋场及周边地下水流向为北东向。地下水主要补给来源为大气降水入渗补给,其次为河渠侧渗补给及灌溉回渗补给;排泄以蒸发为主,其次为人工开采和补给河渠。因垃圾填埋场影响,地下水化学类型与区域上有较大差异,pH 值 7.1~7.7,水质硬度大,Na+ 含量较高。
-
2 取样与测试
-
根据水文地质条件特征推断,为了掌握研究区地下水水质背景值及污染特征,对填埋场内外地下水水质进行系统检测。在垃圾填埋场内、上下游及两侧布设监测点(卢光华等,2021)。场内布设监测点 1个,上游布设对照点 1个,两侧及下游布设扩散点4个(图1),共采集浅层地下水水样7组。
-
按照《地下水环境监测技术规范》(HJ 164-2020),本次研究对所获取水样进行主要离子成分分析,针对潜在的特征污染因子,本研究选取了K+、 Ca2+、Na+、Mg2+、SO4 2-、Cl-、CO3 2-、HCO3- 8项天然对照离子,总硬度、溶解性总固体、Fe、Mn、Zn、Al、CODMn、 NO3-、NO2-、NH3-N、F-、I-、Hg、As、Se、Gd、Cr6+、Pd 18 项常规因子。水样水质分析由南京地质矿产研究所实验室完成。
-
地下水样阴离子主要为 HCO3- 离子,阳离子主要为Ca2+、Mg2+ 离子。按舒卡列夫分类法划分7组浅层地下水化学类型为 5 种类型(表2),6 组为极硬水,1 组为硬水,水质硬度大;矿化度为 0.467~1.620 g/L。较小范围内地下水化学特征差异性较大且类型复杂,人类活动强烈影响地下水环境。
-
图1 水样取样位置图
-
3 评价方法
-
3.1 地下水环境质量评价
-
单项组分评价法、综合指数法、模糊评价法在地下水环境质量评价中应用广泛。单项组分评价法物理概念清晰,数学过程简单,运算方便,但其过分突出高浓度污染因子作用(倪天翔和冯柳, 2018),加大了最严重污染因子的权重。综合指数法同等对待各项评价因子(孟庆玲等,2013),使其具有相同的评价权重,削弱离散评价因子的作用,评价结果趋于集中度较高的质量等级(羊永夫和褚学伟,2017)。模糊评价法突出主要评价因子,同时兼顾次要评价因子,对评价因子根据其污染程度赋予一定权重,有效地解决评价因子关系模糊和数据误差对评价结果的影响(付善明等,2014)。
-
3.1.1 单项组分评价
-
各单项组分按《地下水质量标准》(GB/T14848-2017)所列分类指标划分为5类,代号与类别代号相同,不同类别标准值相同时,从优不从劣(金沁等, 2016)。
-
计算单项组分评价分值F,其表达式为:
-
式(1~2)中:—单项组分评价分值 Fi(表3)的平均值,无量纲;Fmax—单项组分评价分值Fi中的最大值,无量纲;n—评价因子项数(n=20)。
-
根据单项组分评价分值F(表4),对照地下水质量分级表,确定各采样点地下水质量等级(表4)。
-
3.1.2 综合指数评价
-
采样点20项评价指标转化标准形式无因次化,转化指标值范围(0,100),其表达式为:
-
式(3)中:rij为转化指数;Smax为评价指标最高级标准限值(对应指标Ⅴ类水限值);Smin 为评价指标最低值,设定为0。
-
不同项等级差别进行统一标准比较,将评价指标各级浓度限值规范化处理(王炜,2016),其表达式为:
-
式(4)中:h=1,2,···,m(m =5);i=1,2,···,n(n= 20);Sih为第i评价因子的h级标准限值。
-
计算各级评价标准综合指数(表4),其表达式为:
-
式(5)中:h=1,2,···,m(m=5)。
-
检测样点指数,其表达式为:
-
检测样点综合指数(表4),其表达式为:
-
3.1.3 模糊评价
-
建立采样点20项检测指标评价因子集,其表达式为:
-
地下水水质划分为5类,对应建立评价标准集,其表达式为:
-
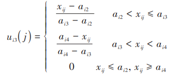
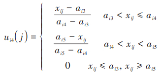
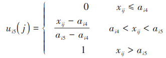
选用“降半梯形分布图”确定隶属度函数(张航泊等,2018),其表达式为:
-
式(10~14)中:uik( j)为水样 i 评价指标 j 属于 k 级水质的程度,xij为水样 i评价指标 j检测值,aik为 k 级水质标准限值。
-
水样 i 检测数据代入对应 5 个级别的隶属度函数,列出水样i的20×5隶属度判别矩阵Rij。
-
因各评价指标在总体污染中作用大小不一,存在高低差别,进行权重计算(孙厚云等,2019)。其表达式为:
-
式(15~16)中:xi为第i评价指标的检测值,ai为第i评价指标各级标准限值的平均值。
-
评价指标权重进行归一化处理,其表达式为:
-
归一化后,列出水样 i的 1×20权重模糊矩阵 A。通过权重模糊矩阵(A)和隶属度判别矩阵(Rij )的复合运算,列出1×5的模糊子集矩阵B,其表达式为:
-
根据最大隶属度原则,选择最大值作为地下水水质评价依据(表4)。
-
3.2 地下水用途功能评价
-
3.2.1 生活饮用水评价
-
评价指标背景值采用Ⅱ类水限值,采用内梅罗综合指数法评价地下水生活饮用水污染类别(张恒博,2021)。
-
评价指标污染指数,其表达式为:
-
式(19)中:I 为评价指标污染指数,C 为评价指标实测值,C0 为评价指标背景值(Ⅱ 类水的上限值)。
-
评价指标的内梅罗综合指数(表5),其表达式为:
-
式(20~21)中:PI 为内梅罗综合指数,为各评价指标污染指数平均值,Imax为评价指标污染指数最大值,n为评价指标项数(n =20)。
-
内梅罗综合指数评价标准:PI≤1. 0时,未污染; 1. 0<PI≤2.5时,轻微污染;2.5<PI≤5. 0时,中等污染;PI>5. 0时,严重污染。
-
3.2.2 工业用水评价
-
采用锅垢总重量和硬垢系数评价地下水工业用水成垢作用等级。
-
锅垢总重量评价(表5),其表达式为:
-
式(22)中:H0为锅垢总重量(mg/L),S为悬浮物重量(mg/L),C 为胶体物重量(mg/L),γFe2+为离子的含量(mmol/L×离子价数)。
-
锅垢总量评价标准:H0≤125 mg/L 时,为沉淀物很少的水;125 mg/L<H0≤250 mg/L 时,为沉淀物较少的水;250 mg/L<H0≤500 mg/L 时,为沉淀物较多的水;H0>500 mg/L时,为沉淀物很多的水。
-
硬垢系数评价(表5),其表达式为:
-
式(23~24)中:Hh 为硬垢总量(mg/L);SiO2 为二氧化硅总量(mg/L)(负值时,忽略不计);Kn 为硬垢系数。
-
硬垢系数评价标准:Kn≤0.25 时,为极软水; 0.25<Kn≤0.50 时,为软硬垢水;Kn>0.50 时,为硬垢水。
-
采用腐蚀系数评价地下水工业用水腐蚀作用 (表5),其表达式为:
-
酸性水时:
-
碱性水时:
-
水样 pH 值均大于 7,中性偏碱性,按碱性水评价。
-
腐蚀系数评价标准:Kk>0时,为腐蚀性水;Kk≤ 0 且 Kk + 0. 0503Ca2+ >0 时,半腐蚀性水;Kk + 0. 0503Ca2+ ≤0时,非腐蚀性水;Ca2+ 以mg/L计。
-
采用成泡系数评价地下水工业用水成泡作用 (表5),其表达式为:
-
成泡系数评价标准:F≤60时,为不起泡水;60< F≤200时,为半起泡水;F>200时,为起泡水。
-
3.2.3 农业用水评价
-
采用钠吸附比和灌溉系数评价地下水农业灌溉用水评价。
-
钠吸附比评价(表5),其表达式为:
-
式(28)中:SAR为钠吸附比(mmol•L-1)1/2。
-
钠吸附比评价标准:SAR>20 时,为有害水;15 <SAR≤20时,有害边缘水;SAR≤8时,相当安全水。
-
灌溉系数评价(表5),其表达式为:
-
灌溉系数评价标准:Ka>18时,为安全适用水; 6<Ka≤18 时,为适用水;1.2<Ka≤6 时,为不太适用水;Ka≤1.2时,为不能用水。
-
4 综合分析
-
4.1 地下水环境质量评价
-
单项组分评价,4组(2#、3#、4#、7#)评价结果高于综合指数评价和模糊评价,3 组(1#、5#、6#)评价结果与模糊评价一致,且高于综合指数评价。单项组分评价法过分突出极大值,污染指数最大的污染因子对评价结果影响较大,忽略污染浓度小但对水质影响较大的因子,可能会夸大某个污染因子的影响作用,使其对地下水环境评价的灵敏性降低(郭笑笑等,2011)。
-
综合指数评价,4组(1#、2#、5#、6#)评价结果低于单项组分评价和模糊评价,3 组(3#、4#、7#)评价结果与模糊评价一致,且低于单项组分评价。综合指数评价法同等对待每个评价因子,参评因子的数量对评价结果影响较大,可能会掩盖某些污染严重的评价因子,使评价结果偏于保守,某些情况下偏离实际。
-
模糊评价,3 组(1#、5#、6#)评价结果与单项组分评价一致,3 组(3#、4#、7#)评价结果与综合指数评价一致,1 组(2#)评价结果介于单项组分评价和综合指数评价之间。模糊评价法对每项评价因子根据其不同的污染程度给予相应的重视,污染较重的评价因子赋予较大的权重,污染较轻的赋予较小的权重。用隶属度函数来表述水质分级界限更为精细,其评价方法相对于其他评价方法更加合理,是一种有效的评价方法。
-
评价结果显示,垃圾填埋场及其下游、右侧浅层地下水环境质量为Ⅴ类,左侧为Ⅲ类,上游为Ⅱ 类。污染物随地下水迁移形成的污染羽沿地下水流向向下及两侧扩散,右侧因抽取浅层地下水用于农业灌溉,季节性改变浅层地下水流向,使得右侧严重于左侧。结合含水层来看,污染易扩散,值得警惕。
-
4.2 地下水用途功能评价
-
生活饮用水评价,1 组(7#)轻微污染,2 组(2#、 3#)中等污染,4 组(1#、4#、5#、6#)严重污染。污染程度与地下水环境质量高度吻合,垃圾填埋场对生活饮用水质量影响严重。
-
锅垢总重量评价,1 组(7#)沉淀物较少,1 组 (2#)沉淀物较多,5 组(1#、3#、4#、5#、6#)沉淀物很多。沉淀物含量与地下水环境质量高度吻合,垃圾填埋场对锅垢总重量影响较大。
-
硬垢系数评价,1组(3#)为极软水、4组(2#、4#、 5#、6#)为软硬垢水,2组(1#、7#)为硬垢水。腐蚀系数评价,7 组均为半腐蚀性水。成泡系数评价,5 组 (1#、3#、4#、5#、6#)为起泡水,2组(2#、7#)为半气泡水。钠吸附比评价,7 组为相当安全水。灌溉系数评价,5组(1#、3#、4#、5#、7#)为适用水,2组(2#、6#) 为完全适用水。上述评价结果尚未发现与地下水环境质量存在规律性。
-
5 结论
-
(1)地下水环境质量评价显示,垃圾填埋场浅层地下水受到严重污染,污染羽受地下水流向控制,已对下游及两侧浅层地下水环境质量及功能造成影响。
-
(2)综合单项组分评价、综合指数、模糊评价结果来看,模糊评价减少人为因素干扰,各污染因子在总体污染中定量化、清晰化,评价更为清晰、客观、合理,更适用地下水环境质量评价。
-
(3)影响浅层地下水环境质量的无机污染因子主要为总硬度、溶解性总固体、CODMn、NH3-N、 SO4 2-、I-、Mn 等,毒理学指标超标较少,主要为 As、 Cd,污染严重的地下水 Cl-、Na+(K+)离子含量增高。垃圾填埋场周边浅层地下水超标因子与垃圾填埋场浅层地下水超标因子高度一致。
-
参考文献
-
初娜, 丁继新, 宋亚新, 相爱芹, 李高, 杨继鹏 . 2016. 有色金属矿山地质环境质量现状评价方法研究[J]. 矿产勘查, 7(1): 230-233.
-
冯林娜. 2022. 基于内梅罗污染综合指数方法的克兰河水质评价研究[J]. 地下水, 44(1): 116-118.
-
付善明, 肖方, 宿文姬, 邱锦泉, 王道芳, 常向阳 . 2014. 基于模糊数学的广东大宝山矿横石河下游土壤重金属元素污染评价[J]. 地质通报, 33(8): 1140-1146.
-
郜洪强, 樊延恩, 丁文萍, 王秀琳 . 2009. 生活垃圾填埋场对地下水的污染研究[J]. 水资源保护, 25(5): 61-64.
-
郭笑笑, 刘丛强, 朱兆洲, 王中良, 李军. 2011. 土壤重金属污染评价方法[J]. 生态学杂志, 30(5): 889-896.
-
韩亚, 母霓莎, 许飞飞, 王永辉 . 2020. 模糊综合评价在河南城郊煤矿地面塌陷危险性评价中的应用[J]. 矿产勘查, 11(6): 1308- 1313.
-
胡馨然, 杨斌, 韩智勇, 赵娟, 金玲玲 . 2019. 中国正规、非正规生活垃圾填埋场地下水中典型污染指标特性比较分析[J]. 环境科学学报, 39(9): 3025-3038.
-
金沁, 张良璞, 吴缨. 2016. 中小城镇生活垃圾填埋场地下水环境质量评价研究[J]. 环境科学与管理, 41(1): 181-184.
-
刘国, 刘晏辉, 何天煜, 曾燚, 黄琴琴. 2019. 某垃圾填埋场地下水水化学与水质评价研究[J]. 环境科学与技术, 42(4): 221-228.
-
卢光华, 刘长波, 夏春, 岳昌盛, 刘诗诚, 吴洁 . 2021. 某非正规填埋场污染地下水监测技术及应用[J]. 环境工程, 39(4): 180-186.
-
孟庆玲, 马桂科, 韩相奎, 张凤君, 韩鲁亮, 高悦 . 2013. 某固体废物填埋场对附近地下水的污染及水质评价[J]. 环境污染与防治, 35(10): 71-76.
-
倪天翔, 冯柳 . 2018. 地下水质评价中两类内梅罗指数法修正方法的对比分析及应用研究[J]. 地下水, 40(6): 8-11, 53.
-
潘松青, 叶志隆, 程蒙召, 徐颖 . 2017. 垃圾填埋场渗滤液和浓缩液的蒸发特性[J]. 环境工程学报, 11(8): 4506-4512.
-
孙厚云, 吴丁丁, 毛启贵, 张会琼, 葸玉泽. 2019. 基于遥感解译与模糊数学的矿山地质环境综合评价——以戈壁荒漠区某有色金属矿山为例[J]. 矿产勘查, 10(3): 682-689.
-
王松涛, 杨霄, 王丛, 贾超, 王辉辉, 刘建章 . 2021. 城市生活垃圾填埋场污染物运移研究[J]. 中国农村水利水电, (7): 81-86.
-
王炜. 2016. 大同盆地地下水单项组分评价与综合评价[J]. 华北国土资源, (3): 62-64.
-
闫喜凤, 周友华, 徐洁. 2022. 垃圾填埋场渗滤液典型处理工艺对比研究[J]. 环境科学与管理, 47(5): 82-86, 127.
-
羊永夫, 褚学伟 . 2017. 模糊评判法和综合指数法在岩溶地下水质量评价中的应用——以清镇市工业西区为例[J]. 黑龙江水利科技, 45(5): 131-136.
-
张航泊, 宋亚娅, 张培栋. 2018. 陕西田市镇及周边地质环境质量评价模型的构建及应用研究[J]. 矿产勘查, 9(9): 1805-1811.
-
张恒博, 史冲, 徐川川, 豆靖林, 朱文杰, 宋赟, 刘冬, 王永 . 2021. 平顶山市白鹭洲城市湿地公园土壤重金属元素特征及评价[J]. 矿产勘查, 12(12): 2431-2439.
-
张士宽, 王月, 安达, 张伯强, 周炼, 赖健, 涂婷. 2017 . 垃圾填埋场地下水污染修复技术优选研究[J]. 环境工程技术学报, 7(4): 463-469.
-
摘要
非正规生活垃圾填埋场产生的垃圾渗滤液极易造成土壤、地表水及地下水环境污染,严重威胁地下水安全及周边生态环境。采用单一方法无法准确评价非正规生活垃圾填埋场对浅层地下水环境影响,本文综合单项组分评价法、综合指数法、模糊评价法对非正规垃圾填埋场及周边浅层地下水样品点水质进行综合评价,对生活饮用水、工业用水及农业用水进行地下水用途功能评价。研究结果表明:垃圾填埋场浅层地下水受到严重污染,污染羽受地下水流向控制,已对下游及两侧浅层地下水环境质量及功能造成影响。其主要污染因子为总硬度、溶解性总固体、CODMn、NH3-N、SO4 2- 、I-、Mn、As、Cd,污染严重的地下水中 Cl- 、 Na+(K+ )离子含量增高,评价模式可为同类型场地评价提供参考。
Abstract
The landfill leachate produced by informal domestic refuse landfill is very likely to cause environmental pollution of soil, surface water and groundwater, which seriously threatens the safety of groundwater and the surrounding ecological environment. It is impossible to accurately evaluate the impact of informal domestic waste landfill site on shallow groundwater environment with a single method. In this paper, the single-component evaluation method, comprehensive index method and fuzzy evaluation method are integrated to evaluate the water quality of informal landfill site and surrounding shallow groundwater sample points, and to evaluate the groundwater use function of domestic drinking water, industrial water and agricultural water. The results show that the shallow groundwater of the landfill site is seriously polluted, and the pollution plume is controlled by the groundwater flow direction, which has affected the environmental quality and function of the shallow groundwater downstream and on both sides. The main pollution factors are total hardness, total dissolved solids, CODMn, NH3- N, SO4 2- , I- , Mn, As, Cd, and the contents of Cl- and Na+ (K+ ) ions in seriously polluted groundwater are increased. The evaluation model can provide reference for the evaluation of the same type of sites.




