en
×

分享给微信好友或者朋友圈

使用微信“扫一扫”功能。

引用本文: 何强,邵拥军,刘建平,张德贤,邓京,王泽立,刘忠法,袁玲玲. 2024. 湘南香花岭矿田铁砂坪锡多金属矿床U-Pb年代学及成矿规律 [J]. 矿产勘查,15(9):1541-1554.

Citation: He Qiang,Shao Yongjun,Liu Jianping,Zhang Dexian,Deng Jing,Wang Zeli,Liu Zhongfa,Yuan Lingling. 2024. U-Pb geochronology and metal-logenetic regularities of the Tieshaping Sn-polymetallic deposit in the Xianghualing orefiled, south Hunan[J]. Mineral Exploration,15(9):1541-1554.

作者简介:

何强,男,1982年生,硕士生,从事有色金属矿产勘查研究;E-mail: windexhale@163.com。

通讯作者:

刘建平,男,1981年生,副教授,从事矿床学教学与研究;E-mail: liujianping303@163.com。

中图分类号:P612

文献标识码:A

文章编号:1674-7801(2024)09-1541-14

DOI:10.20008/j.kckc.202409001

参考文献
Che X D, Wang R C, Wu F Y, Zhu Z Y, Zhang W L, Hu H, Xie L, Lu J J, Zhang D. 2019. Episodic Nb-Ta mineralisation in South China: Constraints from in situ LA-ICP-MS columbite–tantalite U-Pb dating[J]. Ore Geology Reviews, 105: 71-85.
参考文献
Li B, Li N X, Yang J N, Zhang W D, Liu J P. 2023. Genesis of the Xianghualing tin-polymetallic deposit in southern Hunan, South China: Constraints from chemical and boron isotopic compositions of tourmaline[J]. Ore Geology Reviews, 154: 105303.
参考文献
Li H, Wu J H, Noreen J, Jiang W C, Zhou Z K. 2018. Zircon geochronology and geochemistry of the Xianghualing A-type granitic rocks: Insights into multi-stage Sn-polymetallic mineralization in South China[J]. Lithos, 43(4): 312-313.
参考文献
Wu Q, Feng C Y, Mao J W, Santosh M, Dick J M, Yu M, Li B. 2022. Robust monazite U-Pb and molybdenite Re-Os ages reveal the magmatic and metallogenic history of a highly evolved granitic system in the Xianghualing deposit, South China[J]. Ore Geology Reviews, 140: 104602.
参考文献
Yang L Z, Wu X B, Cao J Y, Hu B, Zhang X W, Gong Y S, Liu W D. 2018. Geochronology, petrology, and genesis of two granitic plutons of the Xianghualing ore field in south Hunan Province: Constraints from zircon U-Pb dating, geochemistry, and Lu–Hf isotopic compositions[J]. Minerals, 8: 213.
参考文献
Yuan S D, Peng J T, Hu R Z, Zhang D L. 2008. A precise U-Pb age of cassiterite from the Xianghualing tin-polymetallic deposit (Hunan, South China) [J]. Mineralium Deposita, 43(4): 375-382.
参考文献
Yuan S D, Peng J T, Shen N P, Hu R Z, Dai T M. 2007. 40Ar-39Ar isotopic dating of the Xianghualing, Hunan, Sn-polymetallic orefield and its geological implications[J]. Acta Geologica Sinica (English Edition), 81(2): 278-286.
参考文献
柏道远, 贾宝华, 马铁球, 王先辉, 刘耀荣, 马爱军, 张晓阳, 陈必河. 2016. 1∶25万郴州幅区域地质调查主要进展及成果[J]. 中国地质调查, 3(2): 24–33.
参考文献
车勤建. 2005. 湘南锡多金属矿集区燕山期岩浆—流体—成矿过程研究[D]. 北京: 中国地质大学(北京), 1-115.
参考文献
陈斌, 马星华, 王志强, 王超. 2011. 南岭地区千里山复式岩体中补体与主体成因联系及其成矿意义[J]. 矿物学报, 31(S1): 9-11.
参考文献
丁涛, 刘建平, 何强, 邵拥军, 郑旭, 袁玲玲, 谢云. 2021. 湘南香花岭锡多金属矿田茶山矿床矿化空间分带及矿物学研究[J]. 矿产勘查, 12(11): 2179-2191.
参考文献
郭爱民, 廖兴钰. 2002. 临武铁砂坪锡石-硫化物矿床地质特征及找矿意义[J]. 国土资源导刊(湖南), 21(4): 271-274.
参考文献
黄革非, 龚述清, 蒋希伟, 谭双喜, 黎传标, 刘东红. 2003. 湘南骑田岭锡矿成矿规律探讨[J]. 地质通报, 22(6): 445–451.
参考文献
黎原, 黎传标, 陈长江, 霍然, 严富贵, 周双, 肖林, 田军委. 2017. 湖南临武县铁砂坪矿区锡多金属矿矿床地质特征及找矿前景浅析[J]. 资源环境与工程, 31(2): 142-148.
参考文献
李厚民, 李立兴, 李小赛, 马收先, 毕珉烽. 2023. 岩石热导率和电阻率关系及其找矿预测意义——以湘南中生代钨锡多金属矿为例[J]. 矿产勘查, 14(9): 1669-1675.
参考文献
毛景文, 陈懋弘, 袁顺达, 郭春丽. 2011. 华南地区钦杭成矿带地质特征和矿床时空分布规律[J]. 地质学报, 85(5): 636-658.
参考文献
彭建堂, 胡瑞忠, 袁顺达, 毕献武, 沈能平. 2008. 湘南中生代花岗质岩石成岩成矿的时限[J]. 地质论评, 54(5): 617-625.
参考文献
唐朝永, 刘利生. 2005. 香花岭锡多金属矿田微量元素地球化学特征及找矿意义[J]. 矿产与地质, (6): 688-691.
参考文献
王伊杰, 时晨, 王海军, 朱欣然. 2022. 我国锡矿资源开发利用形势与“十四五”发展建议[J]. 自然资源情报, (7): 32-36.
参考文献
韦启锋, 姜军胜, 吴越, 张海坤, 程湘. 2023. 桂西北丹池锡矿带与东南亚特提斯锡矿带成矿作用对比研究[J]. 矿产勘查, 14(9): 1604-1613.
参考文献
文国璋, 郭立信, 丁存根. 1984. 临武县香花岭锡铅锌多金属矿矿化分带的初步研究[J]. 湖南地质, 3(1): 14–25.
参考文献
夏庆霖, 汪新庆, 常力恒, 刘壮壮, 甘雪婷. 2018. 中国锡矿床时空分布特征与潜力评价[J]. 地学前缘, 25(3): 59–66.
参考文献
邢万里, 王安建, 王高尚, 洪涛. 2016. 我国锡资源安全简析[J]. 中国矿业, 25(7): 11-15.
参考文献
袁玲玲, 王祎帆, 刘建平, 邵拥军, 刘忠法, 李斌, 郑旭, 丁涛, 张天栋. 2022. 湖南香花岭晚侏罗世高分异花岗岩的岩石地球化学特征: 岩石成因与稀有金属成矿效应[J]. 岩石学报, 38(7): 2113-2138.
参考文献
张德全, 王立华. 1988. 香花岭矿田矿床成矿分带及其成因探讨[J]. 矿床地质, 7(4): 35–44.
参考文献
张建斌, 丁建华, 南格利. 2015. 中国锡矿资源特征及主要远景区潜力分析[J]. 中国地质, 42(4): 839-852.
参考文献
郑旭, 刘建平, 陈卫康, 邵拥军, 田旭峰, 文一卓, 刘少青, 丁涛. 2022. 湘南香花岭锡矿田碎屑岩中似层状锡多金属矿体铟富集特征及成因[J]. 中国有色金属学报, 32(8): 2469-2493.
参考文献
郑旭. 2022. 湘南泡金山锡多金属矿床地质特征及成因[D]. 长沙: 中南大学, 1-56.
参考文献
中华人民共和国自然资源部. 2023. 2023中国矿产资源报告[M]. 北京: 地质出版社, 5-8.
参考文献
钟江临. 2014. 湖南香花岭地区有色、稀有多金属矿床主要类型及找矿方向[J]. 华南地质与矿产, 30(2): 99-108.
参考文献
朱金初, 王汝成, 陆建军, 张辉, 张文兰, 谢磊, 章荣清. 2011. 湘南癞子岭花岗岩体分异演化和成岩成矿[J]. 高校地质报, 17(3): 381-392.
参考文献
祝新友, 刘新, 黄行凯, 蒋斌斌, 蒋昊原. 2017. 论锡多金属矿矿化分带的制约因素[J]. 矿物学报, 37(S1): 63-64.
目录contents

    摘要

    当前中国以全球 26% 的锡资源支撑全球 45% 的锡消费量,锡矿储采比持续降低,锡资源增储迫在眉睫。湘南香花岭地区是南岭乃至全国重要的锡资源基地。为揭示香花岭东部铁砂坪锡多金属矿床的深边部资源潜力,本文在野外地质调查基础上,开展了铁砂坪矿床成岩成矿年代学研究,系统总结了成矿规律。研究表明铁砂坪矿床发育5类矿体:矽卡岩锡矿体、产于碳酸盐岩中脉状锡铅锌矿体、产于碳酸盐岩中脉状钨矿体、产于碎屑岩中脉状锡矿体及产于碎屑岩中石英脉型黑钨矿矿体。年代学测试结果表明北部的隐伏花岗岩独居石U-Pb年龄为148. 7 Ma,大冲矿段锡石U-Pb年龄为146. 0 Ma,而南部茶山矿段获得的锡石U-Pb年龄为157. 4 Ma,推测铁砂坪南北两个矿段锡成矿时代存在11 Ma时间差。矿体受花岗岩环带控矿规律和北东向断裂联合控制。识别了4个北东向等距的矿段:白砂岩—鸿运矿段、大冲—顺兴矿段、反背塘矿段、茶山矿段。本文总结的成矿规律不仅对铁砂坪矿床深边部勘查具有重要指导,还对南岭地区锡多金属矿的勘查也具有借鉴作用。

    Abstract

    At present, China supports 45% of the world's Sn consumption with 26% of the world's Sn resources. The Sn reserve-production ratio of China continues to decrease, and the increase of Sn resources has become an urgent task for mineral exploration. The Xianghualing district of southern Hunan is the most important Sn metallogenic district in Nanling and an important base for increasing Sn reserves. In order to reveal Sn potential resource of the Tieshaping Sn polymetallic deposit in the eastern part of the Xianghualing orefield, systematic field geological investigation, geochronology of diagenesis and mineralization and the metallogenic regularities of the deposit were studied. This study shows that five mineralization types are occurred in the Tieshaping deposit: skarn-type Sn orebody in the contact zone, Sn-Pb-Zn orebody hosted in fault zone in carbonate, Sn orebody in clastic rock, scheelite orebody hosted in fault zone in contact zone and quartz-wolframite vein orebody. The monazite U-Pb age of the concealed granite and cassiterite U-Pb age of the Dachong ore block in north area are 148. 7 Ma and 146. 0 Ma, respectively. The cassiterite U-Pb age obtained in the Chashan ore block is 157. 4 Ma. Thus, there is a time gap of 11 Ma for Sn mineraliztion between the north and south metallogenic areas of the Tieshaping deposit. The orebodies are not only controlled by the outer contact zone of granitic intrusion and the north-east-trending faults. Four north-east-trending equidistant ore blocks are identified: Baishayan-Hongyun ore block, Dachong-Shunxin ore block, Fangbeitang ore block and Chashan ore block. The metallogenic regularities of the Tieshaping Sn-polymetallic deposit summarized in this paper are of great significance to guiding deep exploration in the deposit but also to Sn exploration in Nanling region.

  • 0 引言

  • 锡是中国传统优势矿产,资源储量全球占比 25%,而目前中国锡消费占全球 45%(王伊杰等, 2022韦启锋等,2023)。锡资源储采比持续降低,影响国家资源安全。据 2023 年矿产资源年报数据显示中国锡储量约 100.49 万t(中华人民共和国自然资源部,2023),2019年中国锡消费15.8万t(王伊杰等,2022),因此,国内锡资源维持年限低于 10 年 (张建斌等,2015邢万里等,2016),因此,必须加大国内锡资源的勘查力度。据全国锡资源潜力评价显示湘南香花岭—千里山地区是国内5个重要的预测目标区之一(夏庆霖等,2018),而香花岭—千里山地区最具锡找矿潜力地区即香花岭。因此,加强香花岭矿田锡资源的成矿规律研究是实现湘南及至南岭锡找矿突破的关键。

  • 香花岭地区锡多金属矿床主要围绕燕山期花岗岩体周缘产出(Li et al.,2023),尤以围绕癞子岭岩体最为发育(王新元和王吾堤,1997)。在癞子岭岩体北侧产出有香花岭锡多金属矿床,南侧产出有铁砂坪锡矿床,对于前者,前人开展了大量的地质地球化学研究,在成岩成矿年学、成矿作用过程方面取得了深入认识(Yuan et al.,20072008Li et al.,2018Wu et al.,2022袁玲玲等,2022,2023),促进了该区锡成矿理论与矿产勘查。然而铁砂坪锡多金属矿床除报道了基本地质特征外(郭爱民和廖兴钰,2002黎原等,2017),其矿床地球化学及成矿规律认识薄弱。对铁砂坪矿区历年勘查资料(湖南冶金二三八队,1972;王福山,1976;温家寿, 1988;钱玉阶,1989)及矿山储量核实显示,该矿床累计探采的锡储量达到大型规模。由于铁砂坪矿区连接了癞子岭和尖峰岭2个岩体,其矿化类型、控矿因素及成矿规律缺乏深入的认识,限制了该区锡资源的勘查部署。本文在铁砂坪矿床深部勘查项目和储量核实项目实施过程中,开展了大量的野外地质调查,取得了第一手资料。本文系统总结矿床各类矿体的空间展布、矿化类型、矿物组成及围岩蚀变等特征,开展了隐伏的花岗岩独居石 U-Pb 定年和典型矿体锡石 U-Pb 定年研究,以揭示成岩成矿年代格局,系统总结了矿床分带规律,旨在为矿床深边部接替资源勘查提供科学依据。

  • 1 成矿地质背景

  • 1.1 区域地质背景

  • 香花岭矿田位于南岭东西向成矿带中段与耒 (阳)-临(武)南北向成矿带交会部位,区域性炎陵-郴州-蓝山北东向基底断裂通过本区(图1a,柏道远等,2016郑旭等,2022)。湘南地区独特的大地构造环境使其成为华南地区著名的钨锡铅锌多金属矿集区(毛景文等,2011李厚民等,2023)。区内出露最老的地层为南华系—寒武系浅变质碎屑岩(图1a),其上被中泥盆统—下三叠统滨海相— 浅海相碳酸盐岩和碎屑岩不整合覆盖,之后为上三叠统—中侏罗统湖盆相碎屑岩及煤系地层,下白垩统 — 第四系陆相碎屑岩及沉积物(柏道远等, 2016)。区内中酸性岩浆岩广泛发育,代表性岩体有骑田岭、王仙岭、千里山、癞子岭等(车勤建, 2005)。围绕中晚侏罗世花岗岩岩体及岩脉发育大量的稀有金属、有色金属矿床(图1a)(黄革非等, 2003车勤建,2005彭建堂等,2008陈斌等,2011)。

  • 图1 湘南地质矿产图(a)和香花岭地质矿产图(b)(据丁涛等,2021

  • 1—第四系;2—白垩系;3—侏罗系;4—三叠系;5—二叠系;6—石炭系;7—泥盆系;8—泥盆系锡矿山组;9—泥盆系佘田桥组;10—泥盆系棋梓桥组;11—泥盆系跳马涧组;12—寒武系;13—震旦系;14—燕山期花岗岩;15—印支期花岗岩;16—加里东期花岗岩;17—锡多金属矿床;18—岩脉;19—断层

  • 1.2 矿区地质概况

  • 铁砂坪矿区位于香花岭构造穹隆的东部(图1b),根据矿化产出位置可分为白沙岩—鸿运矿段、大冲—顺兴矿段、反背塘矿段和茶山矿段共 5 个矿段(图2)。矿区北接癞子岭岩体,南连尖峰岭岩体,矿区构造-岩浆-成矿活动强烈,是香花岭矿田重要的锡成矿区及勘查区。矿区出露地层较为简单,主要是中泥盆统跳马涧组碎屑岩及棋梓桥组碳酸盐岩,北部有佘田桥组、锡矿山组碳酸盐岩,东南有石炭系碳酸盐岩,西南有寒武系浅变质碎屑岩出露 (图2)。中泥盆统跳马涧组碎屑岩和棋梓桥组碳酸盐岩是区内主要赋矿层位。

  • 矿区地层总体呈一单斜构造(图2),自北向南,倾向北东渐转为北东东,至茶山矿段 F101切割后,呈走向北东东向,倾向南东的单斜,其特征总体与通天庙穹隆构造相吻合(黎原等,2017),倾角 20°~60°。区内断裂北东向为主,次为北西向。北东向以茶山的 F101及次级断裂规模最大,在白沙岩—鸿运、大冲—顺兴、反背塘 3 个矿段中发育北东向断裂是重要的控矿断裂。北西向断裂以 F2及其次级断裂为主,与北东向断裂联合控制了北部的锡(钨)多金属矿体(图2)。

  • 矿区内岩浆活动频繁,在北西出露有癞子岭复式花岗岩体,其东南延伸隐伏于矿区深部。西南地表出露尖峰岭岩体(图2)。癞子岭及尖峰岭岩体均为复式岩体,主体岩性为黑云母花岗岩(王新元和王吾堤,1997),为细粒或中粒花岗结构,块状构造,主要矿物成分由钾长石、斜长石、石英及少量黑云母组成,副矿物有锐钛矿、磁铁矿、独居石、黑钨矿、铌钽铁矿、黄玉、萤石、锆石、细晶石和磷灰石等(王新元和王吾堤,1997)。岩体边缘相为细粒结构和似斑状结构,内部相为中细粒或中粒结构,此外顶部还发育钠长石化和云英岩化(朱金初等,2011)。

  • 2 矿体特征及矿石特征

  • 2.1 矿体特征

  • 通过系统地现场调查,结合前人勘查资料,在矿区圈定了矿体 97个,其主矿体 28个。根据矿种、容矿构造和矿石组成,将矿区矿体划分为 3 类锡多金属矿体和2类钨矿体,部分伴生铅锌矿,现将矿区矿体特征简述如下。

  • 图2 铁砂坪锡多金属矿床地质图

  • 1—石炭系;2—上泥盆统锡矿山组;3—上泥盆统佘田桥组;4—中泥盆统棋梓桥组;5—中泥盆统跳马涧组;6—寒武系;7—地层界线及不整合界线;8—断层及编号;9—燕山期花岗岩;10—花岗斑岩;11—矽卡岩/条纹岩;12—锡矿体;13—黑钨矿矿体;14—白钨矿矿体;15—铅锌矿体; 16—LiNbTa矿带;17—Sn(WBe)矿带;18—SnPbZn矿带;19—PbZn矿带;20—等距矿段

  • (1)产于矽卡岩型中的锡矿体

  • 矽卡岩型锡矿体主要产于两种容矿构造,其一产于花岗岩体与棋梓桥组碳酸盐岩的接触带,矿体产状与地层相近(图3a),形态呈似层状或透镜状,矿体产于厚大的符山石-石榴子石矽卡岩中,是矿区规模较大的锡矿体,其 Sn 平均品位为 0.55%~0.76%,典型矿体有 T1、T16、TB1、TB2和 TB3。其二产于跳马涧组碎屑岩与棋梓桥组碳酸盐岩的层间矽卡岩(图3b)。该类矽卡岩主要矿物为阳起石和透闪石,是矿区主要的锡矿体,在大冲矿段、鸿运矿段和茶山矿段均有产出,典型矿体有 T6-2、T19等,该类矿体 Sn 品位较接触带矽卡岩型锡矿体高,如 T19矿体Sn平均为0.83%。

  • 图3 铁砂坪矿床典型锡矿体剖面地质图

  • a—鸿运矿段38线;b—大冲矿段2D线;c—茶山矿段6线

  • 1—下碳统棋门桥组;2—下碳统孟公坳组;3—上泥盆统佘田桥组;4—中泥盆统棋梓桥组;5—中泥盆统跳马涧组;6—燕山期花岗岩;7—断层及编号;8—地层界线及推测地层界线;9—矽卡岩/条纹岩;10—锡矿体;11—铅锌矿体;12—铅锌矿化白云岩;13—沿脉巷道;14—斜井; 15—定年取样位置

  • (2)产于碳酸盐岩中的锡铅锌矿体

  • 该类矿体赋存于碳酸盐岩断裂中,是矿区重要的锡矿体类型,该类矿体垂向分带特征明显(图3c),发育完全者深部为锡矿体、中深部为锡铅锌矿体,浅部为铅锌矿体。这类矿体主要分布于茶山矿段,在白沙岩—鸿运、大冲—顺兴、反背塘一带因容矿断裂规模小,垂向变化不明显,更多则以呈单独锡或锡铅锌或铅锌矿体产出。该类矿体矿物组成主要为锡石硫化物组合,包括锡石、磁黄铁矿、黄铁矿、毒砂、闪锌矿、方铅矿等。该类矿体深部Sn品位较高,如大冲矿段TH18矿体Sn品位为3.82%。

  • (3)产于碳酸盐岩中的脉状钨(白钨矿)矿体

  • 该类矿体发育花岗岩体外接触带碳酸盐岩断裂带中,分布于白沙岩矿段和茶山矿段,典型矿体有 T33、T70、TW1、TW2、TE13等(图4a,b)。该类矿体受控于北东向断裂中,呈似层状、透镜状产出,主要矿物为白钨矿、萤石、石英,次要矿物有毒砂、黄铁矿、方解石等,矿体WO3平均品位为1.25%~1.45%。

  • (4)产于碎屑岩中的脉状锡矿体

  • 该类矿体产于中泥盆统跳马涧组碎屑岩中的锡矿体,分布于顺兴矿段(图4c),典型矿体有 T27、 T28。该类受北东向断裂带控制,主要矿物组成由锡石、石英、黄玉等组成,Sn平均品位为1.44%。

  • (5)产于碎屑岩中的石英脉型黑钨矿矿体

  • 该类矿体分布与碎屑岩中的脉状锡矿体类似,分布于顺兴矿段,产于中泥盆统跳马涧组(图4c) 中,但矿体的走向和矿石矿物组合与锡矿体存在明显差异,为石英脉型黑钨矿矿体,典型矿体有T31、T32 矿体。该类矿体矿物组成主要由黑钨矿、闪锌矿、锡石、方铅矿等,WO3品位为0.42%~0.57%,Sn 0.26%。

  • 图4 铁砂坪矿床典型钨矿体剖面地质图

  • a—白沙岩矿段36T线550 m中段地质平面图;b—白沙岩矿段1T线487 m中段地质平面图;c—顺兴矿段A线剖面示意图

  • 1 —中泥盆统棋梓桥组;2—中泥盆统跳马涧组;3—断层;4—萤石-白钨矿矿体;5—石英脉黑钨矿矿体;6-锡矿体

  • 2.2 矿石特征

  • 按工业类型矿石可划分为锡石硫化物矿石、铅锌矿石、白钨矿石和黑钨矿石。按矿石构造、矿物组合特征及围岩划分为 8 类,各类矿石的矿物组成见表1。

  • 3 成岩成矿年代学

  • 3.1 样品采集及分析方法

  • 在矿床调查基础上,对铁砂坪隐伏黑云母花岗岩、大冲矿段锡矿体和茶山锡矿体开展了独居石和锡石激光剥蚀等离子体质谱(LA-ICP-MS)U-Pb 定年研究。

  • 黑云母花岗岩样品采自 ZK3802 孔 171.3 m 处 (图3a,样号 19TSP-17),位于癞子岭岩体的东南隐伏部分,岩石为细粒黑云母花岗岩,为岩体的边缘相。大冲矿段锡石定年样品采自 75 m中段 T19主矿体的锡石硫化物矿石(图3b,样号 19DC2)。茶山矿段锡石定年样品采自13 m中段TC3锡矿体的锡石硫化物矿石(图3c,样号CSXS-3J1)。

  • 独居石从花岗岩中采用破碎—重选—人工挑选的方式挑选单矿物颗粒,然后制靶用于独居石测点的选择和 U-Pb定年。用于定年的锡石将矿石制作激光片,经过显微观察选择颗粒较大且无裂隙的位置进行 LA-ICP-MS U-Pb 同位素测试,所有的测试在中南大学地球科学与信息物理学院 LA-ICP-MS实验室完成。

  • 3.2 独居石U-Pb年代学

  • 铁砂坪细粒黑云母花岗岩(图5a)的独居石透射光图像(图5b)显示大多数独居石较干净,在 BSE 图像(图5c)上显示成分较均匀。获得了独居石 22 个测点LA-ICP-MS同位素结果(表2),独居石Tera-Wasserbug 谐和年龄为(148.7±1.6)Ma,MSWD=1.5,n=22(图5d)。

  • 表1 铁砂坪矿床矿石类型特征

  • 图5 铁砂坪细粒花岗岩样品标本(a)、独居石透射光(b)、BSE图像(c)和独居石Tera-Wasserbug谐和年龄(d)

  • 3.3 锡石U-Pb年代学

  • (1)大冲矿段

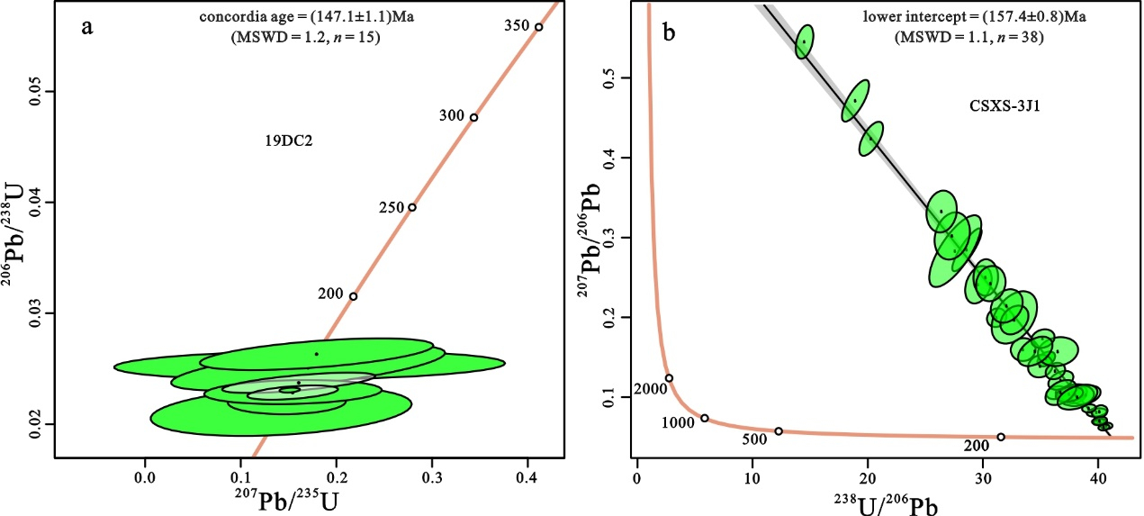
  • 大冲矿段锡石定年样品为团块状的锡石硫化物矿石(样号 19DC2),充填于大理岩中(图6a)。锡石颗粒大小 20 μm~1 mm,锡石呈自形—半自形,被硫化物交呈浑圆状(图6b),硫化物主要为磁黄铁矿。开展了锡石 U–Pb 同位素 16 个有效数据(表3),对其进行了年龄计算,由于其普通铅含量较低,获得了207Pb/206Pb-238U/206Pb 谐和曲线年龄为(146. 0 ±1.7)Ma (MSWD=0.94,n=16,图7a)。

  • 表2 铁砂坪花岗岩独居石U-Pb同位素比值测试结果

  • (2)茶山矿段

  • 茶山矿段锡石硫化物矿石(图6c)以锡石为主,矿物颗粒较粗,最大者达 2 mm,黄铜矿和黝锡矿硫化物充填锡石颗粒间(图6b)。获得了锡石 38 个测点的同位素数据(表3),在207Pb/206Pb-238U/206Pb Tera-Wasserbug 谐和年龄(图7b)结果为(157.4±0.8)Ma (MSWD=1.8,n=38)。

  • 3.4 铁砂坪矿床成岩成矿时代

  • 铁砂坪隐伏细粒黑云母花岗岩独居石 U-Pb定年显示成岩年龄为 148.7 Ma,而大冲矿段锡石 U-Pb年龄为146. 0 Ma,表明北部白沙岩—返背塘一带成岩成矿时代具有一致性。茶山矿段获得的锡石 U-Pb 年龄为 157.4 Ma,由于目前茶山矿段深部尚未揭露岩体,其成岩时间难以确定,但推测其岩体与西南侧的尖峰岭岩体成岩时代相近,前人对尖峰岭的花岗岩获得锆石 U-Pb 年龄为 165~154 Ma (Yang et al.,2018Wu et al.,2022袁玲玲等, 2022)。近年来在尖峰岭一带所获得的成矿年龄均在 162~156 Ma(表4)。因此,推测受尖峰岭岩体控制的锡成矿时间早于癞子岭岩体有关的锡成矿时间(图8)。本次获得锡石 U-Pb 年龄时间差为 11 Ma,这也与两岩体的成矿差异相符合,即尖峰岭一带发育以 Nb-Ta-Be-W-F 矿化为主,而癞子岭及其周边地段形成以Sn-Pb-Zn矿化为主。

  • 4 成矿规律

  • 4.1 岩浆岩环带控矿规律

  • 对岩浆热液型矿床而言,花岗岩、构造、地层岩性是矿床形成的 3 个互相制约、互相促进的控矿因素(祝新友等,2017),其一级主导性因素是岩浆。现将结合香花岭矿田及铁砂坪矿区实际情况说明岩浆岩控制了矿化分带的特征。

  • 图6 大冲矿段锡石硫化物矿石(样号19DC2)标本照片(a)与反射光显微照片(b)、茶山矿段锡矿石标本照片(c)及反射光显微照片(d)

  • Mb—大理岩;Po—磁黄铁矿;Cst—锡石;Cpy—黄铜矿;Stn—黝锡矿;Td—黝铜矿

  • 图7 大冲矿带锡石U-Pb协和曲线年龄图(a)和茶山矿带锡石U-Pb Tera-Wasserbug年龄图(b)

  • 4.1.1 矿田尺度岩浆环带控矿规律

  • 香花岭地区矿床尺度分带特征早已受到学者的关注(文国璋等,1984张德全和王立华,1988),但矿田尺度的矿化分带特征讨论很少。结合香花岭矿田成矿条件及矿化特征空间特征(王新元和王吾提,1997钟江临,2014)显示矿田尺度也具有良好矿化分带性(图9)。在南部围绕尖峰岭岩体由岩体内向外岩体顶部发育蚀变花岗型Li-Nb-Ta矿化,在正接触带发育 W-(SnBe)矿化,在靠近岩体的外接触带发育 Sn-(Pb-Zn)矿化,在远接触带发育 Pb-Zn矿化,在远端发育Sb矿化。形成了由岩体为中心由内向外形成了环状矿化分带格局(图9),在北部围绕癞子岭和通天庙岩体也具类似环状矿化分布格局。相比南部尖峰岭,北部的 W 矿化范围小,而 Sn矿化范围更大(图9),因此,预计北部具更大锡找矿空间。此外,本次构建的香花岭矿田的环状矿化分带与矿田的地球化学元素分带相吻合(唐朝永和刘利生,2005)。

  • 表3 铁砂坪锡石U-Pb同位素比值测试结果

  • 注:BDL-低于检测限

  • 表4 尖峰岭一带成矿年代学数据

  • 图8 铁砂坪矿区成矿模式图

  • a—尖峰岭花岗岩侵位,岩浆热液在岩体北东侧形成157 Ma脉状锡铅锌矿体;b—148 Ma癞子岭—铁砂坪隐伏花岗岩侵位,岩浆热液在岩体接触带及断裂中形成复杂的146 Ma锡、钨、铅锌矿体

  • 1 —尖峰岭黑云母花岗岩;2—癞子岭花岗岩;3—隐伏花岗岩界面;4—断裂;5—矿体;6—U-Pb定年位置

  • 4.1.2 铁砂坪矿床岩浆控矿规律

  • 铁砂坪矿区符合矿田整体分布格局,根据矿区具体矿化空间展布(图2),矿区内主要发育 3 个矿带:(1)在癞子岭岩体顶部发育蚀变花岗岩型 LiNbTa矿带,已延伸到白砂岩矿段;(2)在花岗岩体与碳酸盐岩接触带形成矽卡岩型 Sn-(WBe)矿带,在接触带发育矽卡岩型Sn矿体(图3a),在跳马涧组碎屑岩与棋梓桥组碳酸盐岩发育层间矽卡岩型锡矿体(图3b),灰岩中北东向断裂中形成脉状钨(白钨矿)体(图4a,b)。(3)在碳酸盐岩或碎屑岩中发育脉状Sn(W)PbZn矿带,在碳酸盐岩地层中发育脉状锡铅锌矿体(图3c),在碎屑岩构造裂隙中发育脉状锡矿体和石英脉型黑钨矿体(图4c)。

  • 4.2 断裂带等距性控矿规律

  • 矿区锡多金属矿体主要产于岩体外接触围岩中,受构造控制明显。根据矿区岩浆岩顶面及控矿断裂的展布,矿区内在空间上发育北东向 4 个等距的矿段(图2):自北西向南东依次为白沙岩—鸿运矿段、大冲—顺兴矿段、返背塘矿段和茶山矿段,其中前三者主要为癞子岭—铁砂坪隐伏岩体控制的矿段,后者为尖峰岭—茶山隐伏岩体控制。在该区出现等距性构造主要是由于印支期以来受东西向挤压,形成北西和南东向共轭剪切作用的影响(梁述文等,1983)。各矿段主要特征及控制因素如下:

  • 图9 香花岭矿田矿化分带格局示意图

  • (据王新元和王吾提,1997钟江临,2014)1—花岗岩;2—断层;3—矿化带界线;4—地名

  • (1)白沙岩—鸿运矿段:分布于近癞子岭的接触带内,北西向 F2层间断裂与北东向断裂带(F45、 F44、F43)控制了主要的矿体的产出,发育以锡为主,次为铅锌和白钨矿矿体群,其中锡矿体主要为T1、T6 矿体群,铅锌矿体主要为 T4矿体群,白钨矿主要为 T3、T2-1矿体群,目前探获的锡矿体占全区的20%。

  • (2)大冲—顺兴矿段:分布于隐伏岩体的岩突位置,控矿构造为北西向的 F2断裂和北东向 F42和 F30。该矿段北东侧围岩为棋梓桥组碳酸盐岩,南西侧为跳马涧组碎屑岩,在大冲矿段形成以T19为代表的大规模矿体,在顺兴一带形成了以T27为主矿体的锡矿体和T31、T32为主的石英黑钨矿矿体。

  • (3)返背塘矿段:分布于大冲—顺兴矿段的南侧,由于该矿段远离癞子岭岩体,深部少量钻孔见到隐伏的花岗岩,但总体离地表较深。目前主要控制因素为北东向 F26断裂和近南北向的 F103断裂,形成了以 T69 为主的锡矿体和以 T70 为主的白钨矿矿体。

  • (4)茶山矿段:处于尖峰岭—茶山隐伏岩体的外接触带,由于隐伏岩体较深,矿区深部目前尚未直接揭露岩体。矿体主要受北东 F101及其次级 F3~F8断裂控制,矿段浅部为铅锌矿体,以T5和T71为主; 深部为锡矿体,产出有T3和T75;在矿带东南部,近岩体侧发育少量的白钨矿矿体。

  • 4.3 矿化垂向变化规律

  • 铁砂坪矿区矿化垂向分带规律表现为底部为钨矿化带,中深部为锡矿化带,中部为锡铅锌矿化带,浅部为铅锌矿化带,总体与水平分带规律对应 (图2)。在不同的矿段有所差异,矿区茶山矿段矿化垂向分带明显,呈现由深部锡石硫化物带—中深部含锡的铅锌矿带—浅部铅锌矿带的分带,如 6 线中F5断层中的矿体群(图3c)。矿物化学组分上,由深到浅,深部锡矿体中的闪锌矿由深部低 In,逐渐变为富In,在浅部变为贫In,闪锌矿元素类质同象替代存在差异(丁涛等,2021)。

  • 鸿运—返背塘矿段垂向分带各带之间无明显界线(图10),整体表现为中深部锡石硫化物含铅锌矿化带,锡矿化贯穿整个垂向空间,但仍显示出由浅至深锡增强,铅锌减弱的分带规律:主要铅锌矿体及铅锌含锡矿体分布在600~400 m标高(鸿运T4 矿体和顺兴T9、T10矿体);向深部逐渐过渡为锡铅锌矿体和锡石硫化物带(大冲T19矿体);另在底部出现钨矿带,钨矿带主要靠近隐伏岩体顶部且受水平分带范围影响(图2)。综合分析推断受癞子岭岩体隆起影响,浅部的铅锌矿带多已被剥蚀。

  • 图10 铁砂坪矿区垂向分带样式图

  • 1—中泥盆统棋梓桥组;2—中泥盆统跳马涧组;3—地层界线;4—断层;5—燕山期花岗岩;6—矽卡岩;7—铅锌矿体;8—矽卡岩型锡矿体; 9—锡铅锌矿体;10—锡矿体;11—碎屑岩裂隙充锡矿体;12—白钨矿体;13—黑钨锡矿体;14—浅部铅锌矿带;15—中深部含锡铅锌矿带; 16—深部锡石硫化物带;17—底部钨矿带

  • 5 结论

  • 在铁砂坪矿床地质调查基础上,开展了矿体类型及其特征调查、成岩成矿年代学研究、控矿规律研究,取得如下认识:

  • (1)铁砂坪矿体发育于黑云母花岗岩体接触带及围岩断裂及裂隙中,根据矿体的形态、规模、产状及矿石特征,识别了 5 类矿体:矽卡岩锡矿体、产于碳酸盐岩中脉状锡铅锌矿体、产于碳酸盐岩中脉状钨矿体、产于碎屑岩中脉状锡矿体及产于碎屑岩中石英脉型黑钨矿矿体。

  • (2)铁砂坪隐伏花岗岩进行了独居石 U-Pb 定年显示成岩年龄为 148.7 Ma,大冲矿段锡石 U-Pb 年龄为 146. 0 Ma,表明鸿运—返背塘矿带成岩成矿年龄具有一致性。而茶山矿段获得的锡石 U-Pb年龄为 157.4 Ma。本文锡石 U-Pb定年显示尖峰岭岩体锡成矿时间略早于癞子岭岩体锡成矿时间 11 Ma。

  • (3)铁砂坪锡多金属矿体既受花岗岩外接触带环带控矿规律又受北东向断裂控制,在矿区识别了 4个北东向等距的矿段:白砂岩—鸿运矿段、大冲— 顺兴矿段、反背塘矿段、茶山矿段,对矿区勘查具有重要的指导作用。

  • 致谢  野外地质调查得到了湖南临武嘉宇矿业有限责任公司的大力支持,在此表示衷心的感谢!

  • 注释

  • ① 王新元,王吾堤.1997. 湖南香花岭有色稀有多金属矿床地质 [R]. 中国有色金属工业总公司地质勘查总局.

  • ② 湖南冶金二三八队.1972. 湖南省临武县茶山铅锌矿区地质评价报告[R]. 郴州:湖南冶金二三八队.

  • ③ 王福山 .1976. 湖南省临武县铁砂坪矿区地质评价报告[R]. 郴州:湖南省有色地质局238地质队.

  • ④ 温家寿.1988. 湖南省临武县铁砂坪矿区锡矿详细普查地质报告[R]. 郴州:湖南省地质矿产局湘南队.

  • ⑤ 钱玉阶 .1989. 湖南省临武县深坪锡铅锌矿区普查地质报告 [R]. 郴州:湖南省有色地质局206地质队.

  • ⑥ 梁述文,杜方权,谢建华 .1983. 湖南香花岭锡多金属矿床地质构造特征及成矿作用分析[R]. 长沙:中国科学院长沙大地构造研究所.

  • 参考文献

    • Che X D, Wang R C, Wu F Y, Zhu Z Y, Zhang W L, Hu H, Xie L, Lu J J, Zhang D. 2019. Episodic Nb-Ta mineralisation in South China: Constraints from in situ LA-ICP-MS columbite–tantalite U-Pb dating[J]. Ore Geology Reviews, 105: 71-85.

    • Li B, Li N X, Yang J N, Zhang W D, Liu J P. 2023. Genesis of the Xianghualing tin-polymetallic deposit in southern Hunan, South China: Constraints from chemical and boron isotopic compositions of tourmaline[J]. Ore Geology Reviews, 154: 105303.

    • Li H, Wu J H, Noreen J, Jiang W C, Zhou Z K. 2018. Zircon geochronology and geochemistry of the Xianghualing A-type granitic rocks: Insights into multi-stage Sn-polymetallic mineralization in South China[J]. Lithos, 43(4): 312-313.

    • Wu Q, Feng C Y, Mao J W, Santosh M, Dick J M, Yu M, Li B. 2022. Robust monazite U-Pb and molybdenite Re-Os ages reveal the magmatic and metallogenic history of a highly evolved granitic system in the Xianghualing deposit, South China[J]. Ore Geology Reviews, 140: 104602.

    • Yang L Z, Wu X B, Cao J Y, Hu B, Zhang X W, Gong Y S, Liu W D. 2018. Geochronology, petrology, and genesis of two granitic plutons of the Xianghualing ore field in south Hunan Province: Constraints from zircon U-Pb dating, geochemistry, and Lu–Hf isotopic compositions[J]. Minerals, 8: 213.

    • Yuan S D, Peng J T, Hu R Z, Zhang D L. 2008. A precise U-Pb age of cassiterite from the Xianghualing tin-polymetallic deposit (Hunan, South China) [J]. Mineralium Deposita, 43(4): 375-382.

    • Yuan S D, Peng J T, Shen N P, Hu R Z, Dai T M. 2007. 40Ar-39Ar isotopic dating of the Xianghualing, Hunan, Sn-polymetallic orefield and its geological implications[J]. Acta Geologica Sinica (English Edition), 81(2): 278-286.

    • 柏道远, 贾宝华, 马铁球, 王先辉, 刘耀荣, 马爱军, 张晓阳, 陈必河. 2016. 1∶25万郴州幅区域地质调查主要进展及成果[J]. 中国地质调查, 3(2): 24–33.

    • 车勤建. 2005. 湘南锡多金属矿集区燕山期岩浆—流体—成矿过程研究[D]. 北京: 中国地质大学(北京), 1-115.

    • 陈斌, 马星华, 王志强, 王超. 2011. 南岭地区千里山复式岩体中补体与主体成因联系及其成矿意义[J]. 矿物学报, 31(S1): 9-11.

    • 丁涛, 刘建平, 何强, 邵拥军, 郑旭, 袁玲玲, 谢云. 2021. 湘南香花岭锡多金属矿田茶山矿床矿化空间分带及矿物学研究[J]. 矿产勘查, 12(11): 2179-2191.

    • 郭爱民, 廖兴钰. 2002. 临武铁砂坪锡石-硫化物矿床地质特征及找矿意义[J]. 国土资源导刊(湖南), 21(4): 271-274.

    • 黄革非, 龚述清, 蒋希伟, 谭双喜, 黎传标, 刘东红. 2003. 湘南骑田岭锡矿成矿规律探讨[J]. 地质通报, 22(6): 445–451.

    • 黎原, 黎传标, 陈长江, 霍然, 严富贵, 周双, 肖林, 田军委. 2017. 湖南临武县铁砂坪矿区锡多金属矿矿床地质特征及找矿前景浅析[J]. 资源环境与工程, 31(2): 142-148.

    • 李厚民, 李立兴, 李小赛, 马收先, 毕珉烽. 2023. 岩石热导率和电阻率关系及其找矿预测意义——以湘南中生代钨锡多金属矿为例[J]. 矿产勘查, 14(9): 1669-1675.

    • 毛景文, 陈懋弘, 袁顺达, 郭春丽. 2011. 华南地区钦杭成矿带地质特征和矿床时空分布规律[J]. 地质学报, 85(5): 636-658.

    • 彭建堂, 胡瑞忠, 袁顺达, 毕献武, 沈能平. 2008. 湘南中生代花岗质岩石成岩成矿的时限[J]. 地质论评, 54(5): 617-625.

    • 唐朝永, 刘利生. 2005. 香花岭锡多金属矿田微量元素地球化学特征及找矿意义[J]. 矿产与地质, (6): 688-691.

    • 王伊杰, 时晨, 王海军, 朱欣然. 2022. 我国锡矿资源开发利用形势与“十四五”发展建议[J]. 自然资源情报, (7): 32-36.

    • 韦启锋, 姜军胜, 吴越, 张海坤, 程湘. 2023. 桂西北丹池锡矿带与东南亚特提斯锡矿带成矿作用对比研究[J]. 矿产勘查, 14(9): 1604-1613.

    • 文国璋, 郭立信, 丁存根. 1984. 临武县香花岭锡铅锌多金属矿矿化分带的初步研究[J]. 湖南地质, 3(1): 14–25.

    • 夏庆霖, 汪新庆, 常力恒, 刘壮壮, 甘雪婷. 2018. 中国锡矿床时空分布特征与潜力评价[J]. 地学前缘, 25(3): 59–66.

    • 邢万里, 王安建, 王高尚, 洪涛. 2016. 我国锡资源安全简析[J]. 中国矿业, 25(7): 11-15.

    • 袁玲玲, 王祎帆, 刘建平, 邵拥军, 刘忠法, 李斌, 郑旭, 丁涛, 张天栋. 2022. 湖南香花岭晚侏罗世高分异花岗岩的岩石地球化学特征: 岩石成因与稀有金属成矿效应[J]. 岩石学报, 38(7): 2113-2138.

    • 张德全, 王立华. 1988. 香花岭矿田矿床成矿分带及其成因探讨[J]. 矿床地质, 7(4): 35–44.

    • 张建斌, 丁建华, 南格利. 2015. 中国锡矿资源特征及主要远景区潜力分析[J]. 中国地质, 42(4): 839-852.

    • 郑旭, 刘建平, 陈卫康, 邵拥军, 田旭峰, 文一卓, 刘少青, 丁涛. 2022. 湘南香花岭锡矿田碎屑岩中似层状锡多金属矿体铟富集特征及成因[J]. 中国有色金属学报, 32(8): 2469-2493.

    • 郑旭. 2022. 湘南泡金山锡多金属矿床地质特征及成因[D]. 长沙: 中南大学, 1-56.

    • 中华人民共和国自然资源部. 2023. 2023中国矿产资源报告[M]. 北京: 地质出版社, 5-8.

    • 钟江临. 2014. 湖南香花岭地区有色、稀有多金属矿床主要类型及找矿方向[J]. 华南地质与矿产, 30(2): 99-108.

    • 朱金初, 王汝成, 陆建军, 张辉, 张文兰, 谢磊, 章荣清. 2011. 湘南癞子岭花岗岩体分异演化和成岩成矿[J]. 高校地质报, 17(3): 381-392.

    • 祝新友, 刘新, 黄行凯, 蒋斌斌, 蒋昊原. 2017. 论锡多金属矿矿化分带的制约因素[J]. 矿物学报, 37(S1): 63-64.

图1 湘南地质矿产图(a)和香花岭地质矿产图(b)(据丁涛等,2021
图2 铁砂坪锡多金属矿床地质图
图3 铁砂坪矿床典型锡矿体剖面地质图
图4 铁砂坪矿床典型钨矿体剖面地质图
图5 铁砂坪细粒花岗岩样品标本(a)、独居石透射光(b)、BSE图像(c)和独居石Tera-Wasserbug谐和年龄(d)
图6 大冲矿段锡石硫化物矿石(样号19DC2)标本照片(a)与反射光显微照片(b)、茶山矿段锡矿石标本照片(c)及反射光显微照片(d)
图7 大冲矿带锡石U-Pb协和曲线年龄图(a)和茶山矿带锡石U-Pb Tera-Wasserbug年龄图(b)
图8 铁砂坪矿区成矿模式图
图9 香花岭矿田矿化分带格局示意图
图10 铁砂坪矿区垂向分带样式图
表1 铁砂坪矿床矿石类型特征
表2 铁砂坪花岗岩独居石U-Pb同位素比值测试结果
表3 铁砂坪锡石U-Pb同位素比值测试结果
表4 尖峰岭一带成矿年代学数据

相似文献

  • 参考文献

    • Che X D, Wang R C, Wu F Y, Zhu Z Y, Zhang W L, Hu H, Xie L, Lu J J, Zhang D. 2019. Episodic Nb-Ta mineralisation in South China: Constraints from in situ LA-ICP-MS columbite–tantalite U-Pb dating[J]. Ore Geology Reviews, 105: 71-85.

    • Li B, Li N X, Yang J N, Zhang W D, Liu J P. 2023. Genesis of the Xianghualing tin-polymetallic deposit in southern Hunan, South China: Constraints from chemical and boron isotopic compositions of tourmaline[J]. Ore Geology Reviews, 154: 105303.

    • Li H, Wu J H, Noreen J, Jiang W C, Zhou Z K. 2018. Zircon geochronology and geochemistry of the Xianghualing A-type granitic rocks: Insights into multi-stage Sn-polymetallic mineralization in South China[J]. Lithos, 43(4): 312-313.

    • Wu Q, Feng C Y, Mao J W, Santosh M, Dick J M, Yu M, Li B. 2022. Robust monazite U-Pb and molybdenite Re-Os ages reveal the magmatic and metallogenic history of a highly evolved granitic system in the Xianghualing deposit, South China[J]. Ore Geology Reviews, 140: 104602.

    • Yang L Z, Wu X B, Cao J Y, Hu B, Zhang X W, Gong Y S, Liu W D. 2018. Geochronology, petrology, and genesis of two granitic plutons of the Xianghualing ore field in south Hunan Province: Constraints from zircon U-Pb dating, geochemistry, and Lu–Hf isotopic compositions[J]. Minerals, 8: 213.

    • Yuan S D, Peng J T, Hu R Z, Zhang D L. 2008. A precise U-Pb age of cassiterite from the Xianghualing tin-polymetallic deposit (Hunan, South China) [J]. Mineralium Deposita, 43(4): 375-382.

    • Yuan S D, Peng J T, Shen N P, Hu R Z, Dai T M. 2007. 40Ar-39Ar isotopic dating of the Xianghualing, Hunan, Sn-polymetallic orefield and its geological implications[J]. Acta Geologica Sinica (English Edition), 81(2): 278-286.

    • 柏道远, 贾宝华, 马铁球, 王先辉, 刘耀荣, 马爱军, 张晓阳, 陈必河. 2016. 1∶25万郴州幅区域地质调查主要进展及成果[J]. 中国地质调查, 3(2): 24–33.

    • 车勤建. 2005. 湘南锡多金属矿集区燕山期岩浆—流体—成矿过程研究[D]. 北京: 中国地质大学(北京), 1-115.

    • 陈斌, 马星华, 王志强, 王超. 2011. 南岭地区千里山复式岩体中补体与主体成因联系及其成矿意义[J]. 矿物学报, 31(S1): 9-11.

    • 丁涛, 刘建平, 何强, 邵拥军, 郑旭, 袁玲玲, 谢云. 2021. 湘南香花岭锡多金属矿田茶山矿床矿化空间分带及矿物学研究[J]. 矿产勘查, 12(11): 2179-2191.

    • 郭爱民, 廖兴钰. 2002. 临武铁砂坪锡石-硫化物矿床地质特征及找矿意义[J]. 国土资源导刊(湖南), 21(4): 271-274.

    • 黄革非, 龚述清, 蒋希伟, 谭双喜, 黎传标, 刘东红. 2003. 湘南骑田岭锡矿成矿规律探讨[J]. 地质通报, 22(6): 445–451.

    • 黎原, 黎传标, 陈长江, 霍然, 严富贵, 周双, 肖林, 田军委. 2017. 湖南临武县铁砂坪矿区锡多金属矿矿床地质特征及找矿前景浅析[J]. 资源环境与工程, 31(2): 142-148.

    • 李厚民, 李立兴, 李小赛, 马收先, 毕珉烽. 2023. 岩石热导率和电阻率关系及其找矿预测意义——以湘南中生代钨锡多金属矿为例[J]. 矿产勘查, 14(9): 1669-1675.

    • 毛景文, 陈懋弘, 袁顺达, 郭春丽. 2011. 华南地区钦杭成矿带地质特征和矿床时空分布规律[J]. 地质学报, 85(5): 636-658.

    • 彭建堂, 胡瑞忠, 袁顺达, 毕献武, 沈能平. 2008. 湘南中生代花岗质岩石成岩成矿的时限[J]. 地质论评, 54(5): 617-625.

    • 唐朝永, 刘利生. 2005. 香花岭锡多金属矿田微量元素地球化学特征及找矿意义[J]. 矿产与地质, (6): 688-691.

    • 王伊杰, 时晨, 王海军, 朱欣然. 2022. 我国锡矿资源开发利用形势与“十四五”发展建议[J]. 自然资源情报, (7): 32-36.

    • 韦启锋, 姜军胜, 吴越, 张海坤, 程湘. 2023. 桂西北丹池锡矿带与东南亚特提斯锡矿带成矿作用对比研究[J]. 矿产勘查, 14(9): 1604-1613.

    • 文国璋, 郭立信, 丁存根. 1984. 临武县香花岭锡铅锌多金属矿矿化分带的初步研究[J]. 湖南地质, 3(1): 14–25.

    • 夏庆霖, 汪新庆, 常力恒, 刘壮壮, 甘雪婷. 2018. 中国锡矿床时空分布特征与潜力评价[J]. 地学前缘, 25(3): 59–66.

    • 邢万里, 王安建, 王高尚, 洪涛. 2016. 我国锡资源安全简析[J]. 中国矿业, 25(7): 11-15.

    • 袁玲玲, 王祎帆, 刘建平, 邵拥军, 刘忠法, 李斌, 郑旭, 丁涛, 张天栋. 2022. 湖南香花岭晚侏罗世高分异花岗岩的岩石地球化学特征: 岩石成因与稀有金属成矿效应[J]. 岩石学报, 38(7): 2113-2138.

    • 张德全, 王立华. 1988. 香花岭矿田矿床成矿分带及其成因探讨[J]. 矿床地质, 7(4): 35–44.

    • 张建斌, 丁建华, 南格利. 2015. 中国锡矿资源特征及主要远景区潜力分析[J]. 中国地质, 42(4): 839-852.

    • 郑旭, 刘建平, 陈卫康, 邵拥军, 田旭峰, 文一卓, 刘少青, 丁涛. 2022. 湘南香花岭锡矿田碎屑岩中似层状锡多金属矿体铟富集特征及成因[J]. 中国有色金属学报, 32(8): 2469-2493.

    • 郑旭. 2022. 湘南泡金山锡多金属矿床地质特征及成因[D]. 长沙: 中南大学, 1-56.

    • 中华人民共和国自然资源部. 2023. 2023中国矿产资源报告[M]. 北京: 地质出版社, 5-8.

    • 钟江临. 2014. 湖南香花岭地区有色、稀有多金属矿床主要类型及找矿方向[J]. 华南地质与矿产, 30(2): 99-108.

    • 朱金初, 王汝成, 陆建军, 张辉, 张文兰, 谢磊, 章荣清. 2011. 湘南癞子岭花岗岩体分异演化和成岩成矿[J]. 高校地质报, 17(3): 381-392.

    • 祝新友, 刘新, 黄行凯, 蒋斌斌, 蒋昊原. 2017. 论锡多金属矿矿化分带的制约因素[J]. 矿物学报, 37(S1): 63-64.