en
×

分享给微信好友或者朋友圈

使用微信“扫一扫”功能。

引用本文: 王莉,张荣臻,杜保峰,李栋,茹朋,耿爱宾,袁稳,吕国营 . 2024. 河南省泌阳县付金川金红石矿床成矿时代及成因探讨[J]. 矿产勘查,15(12):2187-2197.

Citation: Wang Li, Zhang Rongzhen, Du Baofeng, Li Dong, Ru peng, Geng Aibin, Yuan Wen, Lyu Guoying. 2024. Discussion on metallogenic age and genesis of Fujinchuan rutile deposit in Biyang County, Henan Province[J]. Mineral Exploration, 15(12): 2187-2197.

作者简介:

王莉,女,1988年生,工程师,主要从事关键金属矿产勘查及地质科研工作;E-mail: 524396564@qq.com。

通讯作者:

张荣臻,男,1987年生,博士,工程师,主要从事矿床勘查及地质科研工作;E-mail: zrzyang@126.com。

中图分类号:P611.3

文献标识码:A

文章编号:1674-7801(2024)12-2187-11

DOI:10.20008/j.kckc.202412002

参考文献
Agangi A, Plavsa D, Reddy S M, Olierook H, Kylander-Clark A. 2020. Compositional modification and trace element decoupling in rutile: Insight from the Capricorn Orogen, Western Australia[J]. Precambrian Research, 345: 105772.
参考文献
Bader T, Franz L, Ratschbacher L, Franz L, Yang Z, Hofmann M, Linnemann U, Yuan H. 2013. The heart of China revisited: II. Early Paleozoic (ultra) high-pressure and (ultra) high-temperature metamorphic Qinling orogenic collage[J]. Tectonics, 32: 922-947.
参考文献
Dostal J, Kontak D J, Chatterjee A K. 2009. Trace element geochemistry of scheelite and rutile from metaturbidite-hosted quartz vein gold deposits, Meguma Terrane, Nova Scotia, Canada: Genetic implications[J]. Mineralogy & Petrology, 97(1/2): 95-109.
参考文献
Liu Y, Hu Z, Gao S, Günther D, Xu J, Gao C, Chen H. 2008. In situ analysis of major and trace elements of anhydrous minerals by LA-ICP-MS without applying an internal standard[J]. Chemical Geology, 257(1/2): 34-43.
参考文献
Meinhold G, Anders B, Kostopoulos D, Reischmann T. 2008. Rutile chemistry and thermometry as provenance indicator: An example from Chios Island, Greece[J]. Sedimentary Geology, 203(1/2): 98-111.
参考文献
Meinhold G. 2010. Rutile and its applications in earth sciences[J]. Earth Science Reviews, 102(1/2): 1-28.
参考文献
Munker C, Pfander J A, Weyer S, Büchl A, Kleine T, Mezger K. 2003. Evolution of planetary cores and the earth-moon system from Nb/Ta systematics[J]. Science, 301(5629): 84-87.
参考文献
Paton C, Woodhead J D, Hellstrom J C, Hergt J M, Greig A, Maas R. 2010. Improved laser ablation U-Pb zircon geochronology through robust downhole fractionation correction[J]. Geochemistry, Geophysics, Geosystems, 11: 1525-2027.
参考文献
Rudnick R L, Fountain D M. 1995. Nature and composition of the continental crust: A lower crustal perspective[J]. Reviews of Geophysics, 33(3): 267-309.
参考文献
Shannon R D, Prewitt C T. 2010. Effective ionic radii in oxides and fluorides[J]. Acta Crystallographica, 25(5): 925-946.
参考文献
Smythe D J, Schulze D J, Brenan J M. 2008. Rutile as a kimberlite indicator mineral: Minor and trace element geochemistry[C]//9th International Kimberlite Conference, Extended Abstract, No. 9IKC-A-00193.
参考文献
Song C Z, Zhang G W, Wang Y S, Li J H, Chen Z C, Cai Z C. 2009. The constraints of strain partitioning and geochronology in Luonan-Luanchuan tectonic belts on Qinling orogenic belt[J]. Science in China (Series D: Earth Sciences), 52(3): 300-312.
参考文献
Thompson J, Meffre S, Danyushevsky L. 2018. Impact of air, laser pulse width and fluence on U-Pb dating of zircons by LA-ICP-MS[J]. Journal of Analytical Atomic Spectrometry, 33(2): 221-230.
参考文献
Yang J S, Bai W J, Fang Q S, Yan B, Shi N, Shi N C, Ma Z S, Dai M Q, Xiong M. 2003. Silicon-rutile-An ultra-high pressure (UHP) mineral from an ophiolite[J]. Progress in Natural Science, 13(7): 528-531.
参考文献
Zhang L, Wu J L, Tu J R, Wu D, Li N, Xia X P, Ren Z Y. 2020. RMJG Rutile: A new natural reference material for microbeam U-Pb dating and Hf isotopic analysis[J]. Geostandards & Geoanalytical Research, 44(1): 133-145.
参考文献
Zack T, Kronz A, Foley S F, Rivers T. 2002. Trace element abundances in rutile from eclogites and associated garnet mica schists[J]. Chemical Geology, 184(1): 97-122.
参考文献
Zack T, Von Eynattenc H, Kronz A. 2004. Rutile geochemistry and its potential use in quantitative provenance studies[J]. Sedimentary Geology, 171(1/4): 37-58.
参考文献
蔡剑辉, 王立本, 李锦平. 2008. 不同产状和成因类型的金红石矿物学特征及其研究意义[J]. 矿床地质, 27(4): 531-538.
参考文献
陈冬, 胡森林, 谬柏虎, 关俊朋, 孙清钟. 2024. 江苏沉积变质型磷矿带含磷岩系LA-ICP-MS锆石U-Pb年龄及其地质意义[J]. 矿产勘查, 15(2), 190-198.
参考文献
陈振宇, 王登红, 陈毓川, 徐珏, 余金杰, 王平安. 2006. 榴辉岩中金红石的矿物地球化学研究及其意义[J]. 地球科学, 31(4): 533-538, 550.
参考文献
丁建华, 张勇, 李立兴, 李厚明. 2020. 中国钛矿成矿地质特征与资源潜力评价[J]. 中国地质, 47(3): 627-644.
参考文献
黄传计, 陈少伟, 李艳艳, 许波, 崔晓峰. 2023. 河南省卢氏县叶家沟—桃花坪一带稀有金属矿床地质特征及找矿方向[J]. 矿产勘查, 14(5): 757-765.
参考文献
贾明, 李胜荣, 岳来群, 张彪. 2006. 山西代县碾子沟金红石矿床地质特征及经济意义研究[J]. 地质与勘探, 42(6): 42-46.
参考文献
李秋立, 杨亚楠, 石永红, 林伟. 2013. 榴辉岩中金红石 U-Pb 定年: 对大陆碰撞造山带形成和演化的制约[J]. 科学通报, 58(23): 2279-2284.
参考文献
饶世成. 2021. 东秦岭造山带中—低级变质金红石矿床矿物学特征与成矿过程[D]. 北京: 中国地质大学(北京).
参考文献
陶克勤, 闫峻, 李超, 刘丹阳, 徐琳玉. 2023. 皖东蚌埠—五河地区重晶石石英脉中金红石特征与成因[J]. 矿物学报, 43(2): 201-214.
参考文献
谭东波, 李东永, 肖益林. 2018. “孪生元素”铌-钽的地球化学特性和研究进展[J]. 地球科学, 43(1): 317-332.
参考文献
王汝成, 朱金初, 张文兰, 谢磊, 于阿朋, 车旭东. 2008. 南岭地区钨锡花岗岩的成矿矿物学: 概念与实例[J]. 高校地质学报, 14(4): 485-495.
参考文献
肖益林, 黄建, 刘磊, 李东永. 2011. 金红石: 重要的地球化学“信息库”[J]. 岩石学报, 27(2): 398-416.
参考文献
徐少康. 2011. 方城县柏树岗金红石矿床40Ar-39Ar法年龄及其地质意义[J]. 中国非金属矿工业导刊, (6): 55-57, 6.
参考文献
赵振华, 熊小林, 王强, 乔玉楼. 2008. 铌与钽的某些地球化学问题[J]. 地球化学, 37(4): 304-320.
参考文献
赵一鸣. 2008. 金红石矿床的类型、分布及其主要地质特征[J]. 矿床地质, 27(4): 520-530.
参考文献
张国伟, 张本仁, 袁学诚, 肖庆辉. 2001. 秦岭造山带与大陆动力学[M]. 北京: 科学出版社.
参考文献
张洋, 王勇, 包峻帆, 景斐媛, 刘浩, 胡玉峰. 2018. 河南付金川金红石矿床地质特征及远景评价[J]. 现代矿业, 34(11): 7-12.
参考文献
张勇, 李泽峰, 刘国燕, 赵永亮, 丁兆滨. 2024. 东昆仑榴辉岩型金红石矿找矿前景探讨[J]. 矿产勘查, 15(3): 364-372.
目录contents

    摘要

    金红石是最具有经济价值的钛矿物,在军工航空、航天、航海、机械、化工、海水淡化、造纸、陶瓷等方面具有重要用途。金红石是自然界中较为稳定的矿物之一,在热液活动和角闪岩相变质级以下均能保持其化学稳定性,是研究变质作用和流体活动的理想矿物。为了研究秦岭—大别地区变质型金红石矿床的成因及年代特征,本文选取泌阳县付金川金红石矿床为研究对象,通过LA-ICP-MS金红石U-Pb测年及矿物微区测试进行系统研究。结果发现付金川矿床中的含钛矿物以金红石为主,TiO2含量为 95.6%~98.5%。 LA-ICP-MS金红石U-Pb年代学获得加权平均年龄(283±26) Ma,暗示泌阳地区可能存在二叠纪的金红石成矿时间;Nb含量均大于 Zr含量(Nb/Cr为 1.76~42.88),且 Nb>800×10-6 ,表明付金川矿床中的金红石形成于变泥质岩,而非变镁铁质岩,属于壳幔混合来源。

    Abstract

    Rutile is the most ecnomically valuable mineral containing titanium. It has important applications in military aviation, aerospace, navigation, machinery, chemical industry, seawater desalination, paper making, ceramics and so on. Rutile is one of the relatively stable minerals in nature, which can maintain its chemical stability below hydrothermal activity and amphibole facies metamorphism, and is an ideal mineral for studying metamorphism and fluid activity. In order to study the genesis and chronological characteristics of metamorphic rutile deposits in Qinling-Dabie area, In this paper, LA-ICP-MS rutile U-Pb dating and mineral micro-area testing are used to systematically study the rutile deposit in Fujinchuan, Biyang County. The results show that rutile is the main titanium-bearing mineral in Fujinchuan deposit. Rutile has high purity, with TiO2 content ranging from 95.6% to 98.5%. The LA-ICP-MS rutile U-Pb geochronology determined that the mineralization age of the rutile deposit in the FuJinchuan area is (283±26) Ma, suggesting the possible existence of a Permian rutile mineralization period in the Biyang area. The Nb content is higher than Zr content (Nb/Zr ranging from 1.76 to 42.88), and Nb>800×10-6 , indicating that the rutile in the Fujinchuan deposit was formed in metamorphic mudstone rather than metamorphic mafic rock. Rutile in Fujinchuan deposit belongs to metamorphic origin and may belong to mixed source of crust and mantle.

  • 0 引言

  • 随着中国综合国力的工业水平的不断提高,钛行业的发展已成为一个重要的战略问题。从长远来看,随着经济增长,钛矿物、颜料和钛金属的消费会越来越高(Gambogi,2012),对关键金属钛的研究就显得必要且紧迫。目前,自然界中没有发现钛的纯金属,其主要以化合物的形式出现,工业利用的主要是钛铁矿和金红石。相比较而言,钛铁矿中 TiO2的含量为53%,而金红石几乎就是纯的TiO2(含量>95%),利用率更高,所以金红石是生产高端钛材的优质原材料(丁建华等,2020),是最具有经济价值的钛矿物。同时,因金红石具有耐高温、耐低温、耐腐蚀、高强度、小比重等优异性能,被广泛地应用于军工航空、航天、航海、机械、化工、海水淡化、造纸、陶瓷等方面(Rudnick and Fountain,1995贾明等,2006赵一鸣,2008肖益林等,2011)。

  • 作为自然界中较为稳定的矿物之一,金红石晶格封闭温度约为 600℃(Meinhold,2010),在热液活动和角闪岩相变质级以下均能保持其化学稳定性,是研究变质作用和流体活动的理想矿物。秦岭— 大别地区蕴含着丰富的矿产资源吸引了国内外众多学者的关注(黄传计等,2023陈冬等,2024张勇等,2024)。泌阳县付金川矿床是秦岭—大别地区发现的一大型金红石矿床,RTiO2资源量达到57万 t (何孝良等,2003)。该矿床位于泌阳县石灰窑、连庄、丘庄一带,东西长约7 km,宽100~150 m,分为付金川、姚庄2个矿段,受控于新元古界宽坪群四岔口组一段、二段。饶世成(2021)厘定了该套地层中金红石矿床的变质作用发生在早—中泥盆世(418~386 Ma),张洋等(2018)对矿床地质特征、金红石赋存状态等方面进行了研究,但并未涉及矿床成因及年代学方面的研究。本研究在以往研究的基础上,依托详细野外和室内观察,厘定了付金川矿床的成矿时代,探讨了其成因,以期提高秦岭—大别地区变质型金红石矿床的研究程度。

  • 1 区域地质概况

  • 研究区北侧为华北板块(图1a),分布地层主要为太古宇太华群(Arth)片麻岩、混合岩、大理岩以及上古生界老李山组(Pz2l)炭质砾岩、炭质绢云片岩、大理岩等。区域南侧东部为大面积第四系(Q)覆盖区,西部为上三叠统(T3 )砂砾岩、页岩以及下古生界火神庙组(Pz1h)细碧岩夹凝灰岩,新元古界宽坪群广东坪组(Pt3g)绿泥片岩,阳起片岩等。南北两侧基岩大部为断层接触。区内为一套中等变质程度的绢云石英片岩、大理岩、角闪片岩类岩石。近年的区域对比研究将这套地层厘定为新元古界宽坪群。断层以北西向为主,延伸长度很大,一般数十千米至数百千米,大部纵贯全区,如维摩寺大断层、花坪—柳河断层、白土岗—广店断层等,构成了区域构造格架。区域东北侧分布有较大面积的中新元古代和中生代二长花岗岩,西南侧分布有古生代闪长岩及花岗闪长岩。

  • 图1 付金川矿床大地构造位置图(a,据徐少康,2011)和泌阳一带付金川矿床地质简图(b,据王爱枝等,2013

  • 1—华北板块与秦岭构造带界线;2—二级构造单元线;3—横涧—回龙地背斜褶皱束;4—三级构造单元界线;5—付金川金红石矿床位置

  • 2 矿床地质特征

  • 2.1 矿区地质

  • 付金川矿床位于华北板块和秦岭构造带的衔接部位,横贯区内羊明断裂,该断裂为华北板块和秦岭构造带两大复合地质体的聚合边界,大地构造位置处于秦岭构造带北秦岭褶皱带横涧—回龙地背斜褶皱束内(图1a)。研究区出露地层主要为新元古界宽坪群四岔口组(图1b)。地层走向北西 (290°~320°),总体倾向南西,倾角 50°~80°;局部受羊明断裂影响地层发生扭动并倾向北东。四岔口组可划分为 3 个岩性段,区内仅出露第一岩性段和第二岩性段。前者岩性以二云斜长片岩和石英岩为主,夹斜长角闪片岩、大理岩及石英岩透镜体;后者岩性以二云石英片岩夹石英岩、含金红石斜长角闪片岩、二云斜长片岩和白云石英片岩为主。

  • 矿区构造主要为羊明断裂,控制区域地层展布及构造格架,呈北西—南东向展布。另有规模较小的北北西向和北东向断层分布,断距不大。断层的形成时代比较晚,以脆性变形为主。褶皱仅表现为尖棱小褶皱和小规模的紧闭同斜褶皱,这些褶皱与金红石矿体形成关系不大。矿区内岩浆活动不发育。

  • 2.2 矿体特征

  • 矿体自西向东划分为付金川、姚庄两个矿段。矿体(层)分布在四岔口组第二岩性段北部的地层中(图2),主要受层位控制,矿体总体产状倾向240° (或 60°),局部倾向 30°,倾角 60°~80°。由于产状陡而导致倾向南北摆动。通过1∶1万地质测量和地表槽探工程揭露,在羊册—贾田(姚庄)金红石矿区范围内共发现 11 个矿体。除 Ti-1 号矿体具工业意义外,其他矿体规模小,长度一般在1000 m以下,最长 2350 m,厚度多在20 m左右,品位RTiO2大部分小于 1.50%,仅个别矿体有夹石。

  • 图2 付金川矿区宏观特征(a)与付金川矿区出露的地层特征(b)

  • 2.3 矿石特征

  • 矿石的主要有用矿物为金红石,其他含钛矿物有钛铁矿、榍石、白钛矿,脉石矿物为角闪石、斜长石、黑云母、石英,偶见绿帘石,副矿物有磷灰石、锆石、电气石等。矿石结构为柱状变晶结构、粒状变晶结构、鳞片粒状变晶结构,构造为片状构造和星散浸染状构造等。本次镜下鉴定发现金红石可分为粗粒型和细粒型,粗粒型粒径大于 0.1 mm,多赋存在斜长角闪片岩中(图3a和3c);细粒型粒径多小于 0.1 mm,多赋存在石榴二云石英片岩中(图3b 和 3d)。

  • BSE 图像(图4)显示付金川地区金红石大小为 0.1~0.2 mm,呈不规则短柱状或柱状,多发育溶蚀结构,少量金红石具有港湾结构。反射光及透反射光下见金红石呈深红褐色,半透明,含少量包裹体或裂隙。多数金红石表面不平整,可能与风化剥蚀作用有关。

  • 图3 斜长角闪片岩(a)、石榴二云石英片岩(b)、斜长角闪片岩中的金红石(c)及石榴二云石英片岩中的金红石(d)

  • 图4 金红石BSE图像

  • 3 样品分析测试

  • 测年样品和地球化学分析样品FJCB1和FJCB2 采集于付金川和丘庄附近。

  • 金红石的主量电子探针分析测试在北京燕都中实测试技术有限公司完成。将金红石矿石样品磨制成标准的电子探针片(50 µm),并在显微镜下观察金红石的赋存状态和共生关系,然后确定代表性的点位进行电子探针测试分析(表2)。实验仪器型号为 EPMA-1600,实验条件为:加速电压为 15 kV,电子速流为 10 nA,束斑大小为 1 µm。电子探针测试所用标样为:钙铁榴石(Si 和 Cd)、金红石 (Ti)、刚玉(Al)、赤铁矿(Fe)、铬铁矿(Cr),蔷薇辉石 (Mn)、绿镍矿(Ni)、方镁石(Mg)、钠长石(Na)、钾长石(K)。

  • 金红石 LA-ICP-MS 单矿物微量元素测试在南京聚谱检测科技有限公司完成。193 nm ArF准分子激光剥蚀系统由 Teledyne Cetac Technologies 制造,型号为Analyte Excite。四极杆型电感耦合等离子体质谱仪(ICP-MS)由安捷伦科(Agilent Technologies) 制造,型号为 Agilent 7700x。准分子激光发生器产生的深紫外光束经匀化光路聚焦于矿物表面,能量密度为 6.0 J/cm2,束斑直径为 40 µm,频率为 7 Hz,共剥蚀40 s,剥蚀气溶胶由氦气送入ICP-MS完成测试。氧化物使用美国国家标准技术研究院 NIST SRM 612 与 610 玻璃作为外标,采用“无内标-基体归一法 ”对元素含量进行定量计算(Liu et al., 2008)。原始的测试数据经ICPMSDataCal软件离线处理,采用“无内标-基体归一法”对元素含量进行定量计算(Liu et al.,2008)。

  • 在研究区采集金红石U-Pb测年样品2件,送往北京燕都中实测试技术有限公司碎样、制靶、拍照及金红石 U-Pb 测年(表3)。将新鲜无蚀变的样品粉碎后,通过磁选及重液将金红石与其他矿物分离,再在双目镜下进行人工挑选。制靶时,将挑选好的金红石颗粒置于环氧树脂上进行固定,树脂凝固后对靶进行抛光,使金红石晶体露出最大面。测年工作由微区分析实验室完成,测试仪器为激光剥蚀一电感耦合等离子体质谱仪(LA-ICP-MS),仪器具体调谐参数见 Thompson et al(.2018)。实验的激光条件为剥蚀频率5 Hz、能量密度3 J/cm2、束斑直径 30 µm。测量质量数为:49Ti、51V、53Cr、90Zr、93Nb、120Sn、 121Sb、178Hf、181Ta、184W、202Hg、204Pb、206Pb、207Pb、232Th、 238U,总的扫描时间约为0.23 s。分析时,先对金红石靶进行清洁,然后对分析点位进行激光预剥蚀,以避免可能存在的样品污染对实验结果造成影响。数据处理采用Iolite程序(Paton et al.,2010),金红石 RMJG 作为校正标样(Zhang et al.,2020),同时用 NIST610 作为外标,49Ti 作为内标计算微量元素含量。

  • 4 分析结果

  • 4.1 主量元素测试结果

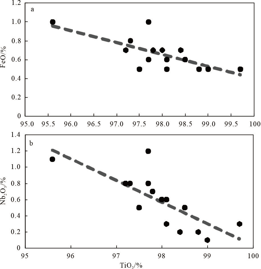
  • 通过电子探针主量元素分析测试发现,付金川金红石矿床富 TiO2的矿物为金红石和钛铁矿,其中金红石 TiO2含量 95.6%~99.7%(平均 97.96%),FeO 含量 0.5%~1.0%(平均 0.66%),Nb2O5 含量 0.1%~1.2 %(平均 0.58%),SiO2含量 0~0.5%(平均 0.1%), V2O3的含量 0.6%~1.1%(平均 0.97%)(表1);钛铁矿 TiO2含量 53.9%~54.3%,FeO含量 38.4%~39.5%。对研究区斜长角闪片岩和石榴二云石英片岩中金红石化学成分进行系统研究分析可得,金红石主要成分为 TiO2,其中 Nb2O5、FeO、V2O3含量相对较高,SiO2 和 MnO 含量相对较低(表1)。从图5 中可看出,付金川矿床金红石中 FeO、Nb2O5与 TiO2呈负相关关系。Ti-Fe 和 Ti-Nb 之间高度的线性关系说明金红石中的Fe和Nb这两种元素可以替换金红石中的Ti 元素,从而进入金红石晶格(陶克勤等,2023)。

  • 图5 金红石FeO—TiO2图解(a)与金红石Nb2O5—TiO2 图解(b)

  • 4.2 微量元素测试结果

  • 付金川矿床金红石微量元素测试结果见表2。金红石中 Mg 的含量为 61.27×10-6~3648.75×10-6,Al 的含量为 27.60×10-6~4135.29×10-6,V 的含量为 490.01×10-6~2339.78×10-6,Cr 的含量为 70.26×10-6~1697.01×10-6,Zr 的含量为 61.5×10-6~1760.44×10-6, Nb的含量为 1186.61×10-6~6497.08 ×10-6,Sn的含量为 66.08×10-6~148.90×10-6,Ta 的含量为 43.55×10-6~719.06×10-6,W 的含量为 247.31×10-6~963.88×10-6, Hf 的含量为 3.61×10-6~49.92×10-6。其中主要的微量元素有 Mg、Al、Zr、V、Nb、Cr 和 W 等;Hf、Sn、Sb 和 Ta的含量相对略低(表2)。

  • 4.3 金红石U-Pb测年结果

  • 由于金红石晶格含有 U、Pb元素且具有相对较高的 U-Pb 体系封闭温度(为 550~600 °C),所以变质成因的金红石可以直接约束变质岩的年龄(陈振宇等,2006Yang et al.,2003),以弥补变质岩定年困难的特点。本研究通过矿石矿物原位 LA-ICP-MS 金红石 U-Pb 年代学直接对成矿时代进行约束(表3)。从金红石电子探针结果来看,泌阳付金川矿区金红石的Fe含量为0.38%~0.76%,高于0.13%,指示金红石为变质成因(Zack et al.,2004),成矿时代应与变质时代接近。金红石定年结果显示,经铅校正后协和曲线上,下交点206Pb/238U 年龄为(274.3± 49.1) Ma,加权平均年龄为(283±26) Ma(图6),代表付金川金红石矿床成矿年龄为二叠纪。

  • 图6 金红石U-Pb测年结果

  • a—金红石U-Pb谐和图;b—金红石加权平均年龄

  • 5 讨论

  • 5.1 成矿时代以及源岩

  • 方城地区金红石赋存于宽坪群,前人研究认为宽坪群变质程度为低角闪岩相(张国伟等,2001),变质作用发生在距今 440 Ma(Bader et al.,2013)。 Song et al.(2009)发现宽坪群白云母和黑云母的坪年龄为383~365 Ma,将其解释为冷却年龄。饶世成 (2021)通过金红石 U-Pb 测年法确定206Pb/238U 年龄为(386±16) Ma(MSWD=1.1),认为方城柏树岗—五间房一带金红石矿变质作用发生在泥盆纪(418~386 Ma)。本次通过对付金川矿区金红石 U-Pb 定年结果显示,经铅校正后谐和曲线上,下交点206Pb/238U 年龄为(274.3±49.1) Ma,17 颗金红石加权平均年龄为(283±26) Ma,代表付金川矿床成矿年龄为二叠纪。与柏树岗金红石年龄存在 100 个 Ma的误差,暗示泌阳地区可能存在二叠纪的金红石成矿事件。

  • 金红石里的微量元素的含量特征可以反演地质体的形成过程和探讨成因(蔡剑辉等,2008),特别是高压变质带和俯冲带内变质岩中的金红石可以示踪超高压变质岩的折返动力学过程和大陆深俯冲深度以及对大陆碰撞造山带的形成和演化进行制约(李秋立等,2013)。金红石除了是Ti元素重要的储库之一,还是 Cr 等高场强元素重要的宿主 (Zack et al.,2004Meinhold,2010)。Cr 元素在金红石中含量的变化,很大程度上记录金红石的形成过程和相关地质条件的变化(肖益林等,2011)。由于 Nb在金红石中的相容性极高,变质岩中超过90%的 Nb 和 Ti 都会集中在金红石中(Zack et al.,2004)。根据 Zack et al.(2002,2004)的研究,Cr 和 Nb 在金红石中均具有很强的相容性,变质岩中金红石的Cr 和含量 Nb 分别与全岩的比值 Cr/TiO2和 Nb/TiO2比值正相关,说明金红石中 Cr 和 Nb 含量可以反映全岩的 Cr和 Nb 特征,因此,可以根据这 2个元素的特征判别源岩性质。Meinhold et al.(2008)将 Nb含量 >800×10-6 且 log(Cr/Nb)<0 设定为来源于变泥质岩的金红石的特征。付金川金红石普遍具有高Nb(含量在 1186.61~7954.50×10-6)、低 Cr(含量在 70.26~1697.01×10-6)的特征,Nb 含量均大于 800×10-6,且 Nb/Cr的范围在 1.76~42.88,Nb 的含量基本大于 Cr,具有典型的变泥质来源特征(图7)。西峡八庙—青山金红石矿床和方城柏树岗—五间房金红石矿床中样品投点表明它们也具有典型的变泥质特征,而罗庄矿床绝大部分落入变泥质岩区域,表明这些矿床都具有典型的变泥质岩石来源特征。

  • 图7 金红石Cr/Nb源岩判别(底图据饶世成,2021

  • 5.2 矿床成因

  • 从岩相特征来看,付金川矿区的金红石赋矿围岩主要为斜长角闪片岩,其原岩主要为一套高钛基性火山岩。一般认为在区域变质过程中,当温度达到950℃以上时,岩石中的钛铁矿就会变成固溶体,随着温度下降其溶解度降低,达到饱和时就发生离溶,分解出金红石和其他类质同象的矿物。因此,付金川矿床的成因类型应属变质火山岩矿床(张洋等,2018)。

  • 从矿物微量元素特征来看,W 等高场强元素作为金红石中的相容元素,在结晶过程中W会优先进入金红石晶格。在总结前人数据的基础上,Agangi et al.(2020)认为与岩浆成因有关的金红石具有高 W、高Sn的特征。付金川矿床里的金红石均普遍具有较高的W含量,在W-Sn图解(图8a)里,付金川矿床里的金红石基本落入变质型金红石区域。

  • Nb 与 Ta、Zr 与 Hf 在地质过程中地球化学行为相似,从而保持较为稳定的 Nb/Ta 和 Zr/Hf 比值 (Munker et al.,2003赵振华等,2008Dostal et al., 2009Shannon and Prewitt,2010谭东波等,2018)。在板块俯冲和高压变质等过程中,固液相互作用和固相脱水过程会导致Nb、Ta和Zr、Hf解耦,即Nb/Ta 和Zr/Hf比值的改变。在不受流体影响的体系中,金红石的 Nb/Ta 和 Zr/Hf 通常分布在一个较小的范围内,其中 Nb/Ta=5~30,Zr/Hf=10~40。付金川矿床中金红石的 Nb/Ta=9.25~38.43,部分点高于球粒陨石值(19.9,据 Munker et al.,2003)Zr/Hf=16.74~35.26,除一个点外其他点均低于球粒陨石值(34.3,据 Munker et al.,2003),Nb/Ta和Zr/Hf比值变化范围较小(图8b)。少量的 Nb/Ta 和 Zr/Hf 比值高于球粒陨石值的金红石是从变质流体中生长而成,进一步指示了其变质流体成因。

  • 另外,Mg 是金红石中最不相容的元素之一,只有在地幔深度并且在高压条件下才会被金红石晶格容纳(Meinhold,2010)。在深部地壳或地幔形成的金红石通常与黑云母、石榴石和角闪石等富Al矿物的分解有关,这类金红石通常具有较高的 Al 含量。付金川金红石Mg含量在61×10-6~3649×10-6,Al 含量在 28×10-6~7888×10-6,在 Mg-Al 图解(图9)中,部分投点落入壳源金红石区域,部分落入幔源金红石区域,这说明付金川矿床中的金红石应是形成于高压环境,具有壳幔混合来源的特征。富Ti流体的来源可能与富 Al 矿物(极有可能是黑云母)的分解有关(王汝成等,2008)。

  • 图8 金红石W-Sn图解(a,底图据Agangi et al.,2020)和Nb/Ta-Zr/Hf系统图(b)

  • 图9 金红石Mg-Al图解(底图据Smythe et al.,2008

  • 表1 付金川矿区金红石和钛铁矿微区电子探针测试结果(%)

  • 表2 付金川矿床LA-ICP-MS金红石微量元素分析结果(10-6

  • 表3 样品FJCU-pb1金红石U-Pb测年结果

  • 6 结论

  • (1)河南省泌阳县付金川矿床中的含钛矿物主要为金红石,其次为钛铁矿,金红石中的 TiO2含量介于95.6%~98.5%。

  • (2)LA-ICP-MS 金红石 U-Pb 年代学测得付金川地区金红石矿床的加权平均年龄是(283±26) Ma,暗示泌阳地区可能存在二叠纪的金红石成矿期次。

  • (3)金红石中的 Nb 含量均大于 Zr 含量(Nb/Cr 为 1.76~42.88),且 Nb>800×10-6,表明付金川矿床中的金红石形成于变泥质岩,而非变镁铁质岩,具有壳幔混合来源的特征。

  • 致谢  感谢河南省地质研究院沈建海和罗正传教授级高级工程师对本项目的指导。

  • 注释

  • ① Gambogi J.2012. Titanium, in Metals and minerals: U.S. Geological Survey Minerals Yearbook 2010[R]. Reston: USGS, 1-17.

  • ② 何孝良,马宏卫,郭喜庄,焦立业,马长源,连文莉,王云,任爱琴,姚晓华.2003. 河南省泌阳县羊册—贾田(姚庄)矿区金红石矿普查地质报告[R]. 信阳: 河南省地质矿产勘查开发局第三地质调查队.

  • ③ 王爱枝,王云,张冠,王洪恩,董婷婷,唐相伟,陈曾武,杨英山.2013. 河南省金红石矿资源潜力评价成果报告[R]. 信阳: 河南省地质矿产勘查开发局第三矿产调查院.

  • 参考文献

    • Agangi A, Plavsa D, Reddy S M, Olierook H, Kylander-Clark A. 2020. Compositional modification and trace element decoupling in rutile: Insight from the Capricorn Orogen, Western Australia[J]. Precambrian Research, 345: 105772.

    • Bader T, Franz L, Ratschbacher L, Franz L, Yang Z, Hofmann M, Linnemann U, Yuan H. 2013. The heart of China revisited: II. Early Paleozoic (ultra) high-pressure and (ultra) high-temperature metamorphic Qinling orogenic collage[J]. Tectonics, 32: 922-947.

    • Dostal J, Kontak D J, Chatterjee A K. 2009. Trace element geochemistry of scheelite and rutile from metaturbidite-hosted quartz vein gold deposits, Meguma Terrane, Nova Scotia, Canada: Genetic implications[J]. Mineralogy & Petrology, 97(1/2): 95-109.

    • Liu Y, Hu Z, Gao S, Günther D, Xu J, Gao C, Chen H. 2008. In situ analysis of major and trace elements of anhydrous minerals by LA-ICP-MS without applying an internal standard[J]. Chemical Geology, 257(1/2): 34-43.

    • Meinhold G, Anders B, Kostopoulos D, Reischmann T. 2008. Rutile chemistry and thermometry as provenance indicator: An example from Chios Island, Greece[J]. Sedimentary Geology, 203(1/2): 98-111.

    • Meinhold G. 2010. Rutile and its applications in earth sciences[J]. Earth Science Reviews, 102(1/2): 1-28.

    • Munker C, Pfander J A, Weyer S, Büchl A, Kleine T, Mezger K. 2003. Evolution of planetary cores and the earth-moon system from Nb/Ta systematics[J]. Science, 301(5629): 84-87.

    • Paton C, Woodhead J D, Hellstrom J C, Hergt J M, Greig A, Maas R. 2010. Improved laser ablation U-Pb zircon geochronology through robust downhole fractionation correction[J]. Geochemistry, Geophysics, Geosystems, 11: 1525-2027.

    • Rudnick R L, Fountain D M. 1995. Nature and composition of the continental crust: A lower crustal perspective[J]. Reviews of Geophysics, 33(3): 267-309.

    • Shannon R D, Prewitt C T. 2010. Effective ionic radii in oxides and fluorides[J]. Acta Crystallographica, 25(5): 925-946.

    • Smythe D J, Schulze D J, Brenan J M. 2008. Rutile as a kimberlite indicator mineral: Minor and trace element geochemistry[C]//9th International Kimberlite Conference, Extended Abstract, No. 9IKC-A-00193.

    • Song C Z, Zhang G W, Wang Y S, Li J H, Chen Z C, Cai Z C. 2009. The constraints of strain partitioning and geochronology in Luonan-Luanchuan tectonic belts on Qinling orogenic belt[J]. Science in China (Series D: Earth Sciences), 52(3): 300-312.

    • Thompson J, Meffre S, Danyushevsky L. 2018. Impact of air, laser pulse width and fluence on U-Pb dating of zircons by LA-ICP-MS[J]. Journal of Analytical Atomic Spectrometry, 33(2): 221-230.

    • Yang J S, Bai W J, Fang Q S, Yan B, Shi N, Shi N C, Ma Z S, Dai M Q, Xiong M. 2003. Silicon-rutile-An ultra-high pressure (UHP) mineral from an ophiolite[J]. Progress in Natural Science, 13(7): 528-531.

    • Zhang L, Wu J L, Tu J R, Wu D, Li N, Xia X P, Ren Z Y. 2020. RMJG Rutile: A new natural reference material for microbeam U-Pb dating and Hf isotopic analysis[J]. Geostandards & Geoanalytical Research, 44(1): 133-145.

    • Zack T, Kronz A, Foley S F, Rivers T. 2002. Trace element abundances in rutile from eclogites and associated garnet mica schists[J]. Chemical Geology, 184(1): 97-122.

    • Zack T, Von Eynattenc H, Kronz A. 2004. Rutile geochemistry and its potential use in quantitative provenance studies[J]. Sedimentary Geology, 171(1/4): 37-58.

    • 蔡剑辉, 王立本, 李锦平. 2008. 不同产状和成因类型的金红石矿物学特征及其研究意义[J]. 矿床地质, 27(4): 531-538.

    • 陈冬, 胡森林, 谬柏虎, 关俊朋, 孙清钟. 2024. 江苏沉积变质型磷矿带含磷岩系LA-ICP-MS锆石U-Pb年龄及其地质意义[J]. 矿产勘查, 15(2), 190-198.

    • 陈振宇, 王登红, 陈毓川, 徐珏, 余金杰, 王平安. 2006. 榴辉岩中金红石的矿物地球化学研究及其意义[J]. 地球科学, 31(4): 533-538, 550.

    • 丁建华, 张勇, 李立兴, 李厚明. 2020. 中国钛矿成矿地质特征与资源潜力评价[J]. 中国地质, 47(3): 627-644.

    • 黄传计, 陈少伟, 李艳艳, 许波, 崔晓峰. 2023. 河南省卢氏县叶家沟—桃花坪一带稀有金属矿床地质特征及找矿方向[J]. 矿产勘查, 14(5): 757-765.

    • 贾明, 李胜荣, 岳来群, 张彪. 2006. 山西代县碾子沟金红石矿床地质特征及经济意义研究[J]. 地质与勘探, 42(6): 42-46.

    • 李秋立, 杨亚楠, 石永红, 林伟. 2013. 榴辉岩中金红石 U-Pb 定年: 对大陆碰撞造山带形成和演化的制约[J]. 科学通报, 58(23): 2279-2284.

    • 饶世成. 2021. 东秦岭造山带中—低级变质金红石矿床矿物学特征与成矿过程[D]. 北京: 中国地质大学(北京).

    • 陶克勤, 闫峻, 李超, 刘丹阳, 徐琳玉. 2023. 皖东蚌埠—五河地区重晶石石英脉中金红石特征与成因[J]. 矿物学报, 43(2): 201-214.

    • 谭东波, 李东永, 肖益林. 2018. “孪生元素”铌-钽的地球化学特性和研究进展[J]. 地球科学, 43(1): 317-332.

    • 王汝成, 朱金初, 张文兰, 谢磊, 于阿朋, 车旭东. 2008. 南岭地区钨锡花岗岩的成矿矿物学: 概念与实例[J]. 高校地质学报, 14(4): 485-495.

    • 肖益林, 黄建, 刘磊, 李东永. 2011. 金红石: 重要的地球化学“信息库”[J]. 岩石学报, 27(2): 398-416.

    • 徐少康. 2011. 方城县柏树岗金红石矿床40Ar-39Ar法年龄及其地质意义[J]. 中国非金属矿工业导刊, (6): 55-57, 6.

    • 赵振华, 熊小林, 王强, 乔玉楼. 2008. 铌与钽的某些地球化学问题[J]. 地球化学, 37(4): 304-320.

    • 赵一鸣. 2008. 金红石矿床的类型、分布及其主要地质特征[J]. 矿床地质, 27(4): 520-530.

    • 张国伟, 张本仁, 袁学诚, 肖庆辉. 2001. 秦岭造山带与大陆动力学[M]. 北京: 科学出版社.

    • 张洋, 王勇, 包峻帆, 景斐媛, 刘浩, 胡玉峰. 2018. 河南付金川金红石矿床地质特征及远景评价[J]. 现代矿业, 34(11): 7-12.

    • 张勇, 李泽峰, 刘国燕, 赵永亮, 丁兆滨. 2024. 东昆仑榴辉岩型金红石矿找矿前景探讨[J]. 矿产勘查, 15(3): 364-372.

图1 付金川矿床大地构造位置图(a,据徐少康,2011)和泌阳一带付金川矿床地质简图(b,据王爱枝等,2013
图2 付金川矿区宏观特征(a)与付金川矿区出露的地层特征(b)
图3 斜长角闪片岩(a)、石榴二云石英片岩(b)、斜长角闪片岩中的金红石(c)及石榴二云石英片岩中的金红石(d)
图4 金红石BSE图像
图5 金红石FeO—TiO2图解(a)与金红石Nb2O5—TiO2 图解(b)
图6 金红石U-Pb测年结果
图7 金红石Cr/Nb源岩判别(底图据饶世成,2021
图8 金红石W-Sn图解(a,底图据Agangi et al.,2020)和Nb/Ta-Zr/Hf系统图(b)
图9 金红石Mg-Al图解(底图据Smythe et al.,2008
表1 付金川矿区金红石和钛铁矿微区电子探针测试结果(%)
表2 付金川矿床LA-ICP-MS金红石微量元素分析结果(10-6
表3 样品FJCU-pb1金红石U-Pb测年结果

相似文献

  • 参考文献

    • Agangi A, Plavsa D, Reddy S M, Olierook H, Kylander-Clark A. 2020. Compositional modification and trace element decoupling in rutile: Insight from the Capricorn Orogen, Western Australia[J]. Precambrian Research, 345: 105772.

    • Bader T, Franz L, Ratschbacher L, Franz L, Yang Z, Hofmann M, Linnemann U, Yuan H. 2013. The heart of China revisited: II. Early Paleozoic (ultra) high-pressure and (ultra) high-temperature metamorphic Qinling orogenic collage[J]. Tectonics, 32: 922-947.

    • Dostal J, Kontak D J, Chatterjee A K. 2009. Trace element geochemistry of scheelite and rutile from metaturbidite-hosted quartz vein gold deposits, Meguma Terrane, Nova Scotia, Canada: Genetic implications[J]. Mineralogy & Petrology, 97(1/2): 95-109.

    • Liu Y, Hu Z, Gao S, Günther D, Xu J, Gao C, Chen H. 2008. In situ analysis of major and trace elements of anhydrous minerals by LA-ICP-MS without applying an internal standard[J]. Chemical Geology, 257(1/2): 34-43.

    • Meinhold G, Anders B, Kostopoulos D, Reischmann T. 2008. Rutile chemistry and thermometry as provenance indicator: An example from Chios Island, Greece[J]. Sedimentary Geology, 203(1/2): 98-111.

    • Meinhold G. 2010. Rutile and its applications in earth sciences[J]. Earth Science Reviews, 102(1/2): 1-28.

    • Munker C, Pfander J A, Weyer S, Büchl A, Kleine T, Mezger K. 2003. Evolution of planetary cores and the earth-moon system from Nb/Ta systematics[J]. Science, 301(5629): 84-87.

    • Paton C, Woodhead J D, Hellstrom J C, Hergt J M, Greig A, Maas R. 2010. Improved laser ablation U-Pb zircon geochronology through robust downhole fractionation correction[J]. Geochemistry, Geophysics, Geosystems, 11: 1525-2027.

    • Rudnick R L, Fountain D M. 1995. Nature and composition of the continental crust: A lower crustal perspective[J]. Reviews of Geophysics, 33(3): 267-309.

    • Shannon R D, Prewitt C T. 2010. Effective ionic radii in oxides and fluorides[J]. Acta Crystallographica, 25(5): 925-946.

    • Smythe D J, Schulze D J, Brenan J M. 2008. Rutile as a kimberlite indicator mineral: Minor and trace element geochemistry[C]//9th International Kimberlite Conference, Extended Abstract, No. 9IKC-A-00193.

    • Song C Z, Zhang G W, Wang Y S, Li J H, Chen Z C, Cai Z C. 2009. The constraints of strain partitioning and geochronology in Luonan-Luanchuan tectonic belts on Qinling orogenic belt[J]. Science in China (Series D: Earth Sciences), 52(3): 300-312.

    • Thompson J, Meffre S, Danyushevsky L. 2018. Impact of air, laser pulse width and fluence on U-Pb dating of zircons by LA-ICP-MS[J]. Journal of Analytical Atomic Spectrometry, 33(2): 221-230.

    • Yang J S, Bai W J, Fang Q S, Yan B, Shi N, Shi N C, Ma Z S, Dai M Q, Xiong M. 2003. Silicon-rutile-An ultra-high pressure (UHP) mineral from an ophiolite[J]. Progress in Natural Science, 13(7): 528-531.

    • Zhang L, Wu J L, Tu J R, Wu D, Li N, Xia X P, Ren Z Y. 2020. RMJG Rutile: A new natural reference material for microbeam U-Pb dating and Hf isotopic analysis[J]. Geostandards & Geoanalytical Research, 44(1): 133-145.

    • Zack T, Kronz A, Foley S F, Rivers T. 2002. Trace element abundances in rutile from eclogites and associated garnet mica schists[J]. Chemical Geology, 184(1): 97-122.

    • Zack T, Von Eynattenc H, Kronz A. 2004. Rutile geochemistry and its potential use in quantitative provenance studies[J]. Sedimentary Geology, 171(1/4): 37-58.

    • 蔡剑辉, 王立本, 李锦平. 2008. 不同产状和成因类型的金红石矿物学特征及其研究意义[J]. 矿床地质, 27(4): 531-538.

    • 陈冬, 胡森林, 谬柏虎, 关俊朋, 孙清钟. 2024. 江苏沉积变质型磷矿带含磷岩系LA-ICP-MS锆石U-Pb年龄及其地质意义[J]. 矿产勘查, 15(2), 190-198.

    • 陈振宇, 王登红, 陈毓川, 徐珏, 余金杰, 王平安. 2006. 榴辉岩中金红石的矿物地球化学研究及其意义[J]. 地球科学, 31(4): 533-538, 550.

    • 丁建华, 张勇, 李立兴, 李厚明. 2020. 中国钛矿成矿地质特征与资源潜力评价[J]. 中国地质, 47(3): 627-644.

    • 黄传计, 陈少伟, 李艳艳, 许波, 崔晓峰. 2023. 河南省卢氏县叶家沟—桃花坪一带稀有金属矿床地质特征及找矿方向[J]. 矿产勘查, 14(5): 757-765.

    • 贾明, 李胜荣, 岳来群, 张彪. 2006. 山西代县碾子沟金红石矿床地质特征及经济意义研究[J]. 地质与勘探, 42(6): 42-46.

    • 李秋立, 杨亚楠, 石永红, 林伟. 2013. 榴辉岩中金红石 U-Pb 定年: 对大陆碰撞造山带形成和演化的制约[J]. 科学通报, 58(23): 2279-2284.

    • 饶世成. 2021. 东秦岭造山带中—低级变质金红石矿床矿物学特征与成矿过程[D]. 北京: 中国地质大学(北京).

    • 陶克勤, 闫峻, 李超, 刘丹阳, 徐琳玉. 2023. 皖东蚌埠—五河地区重晶石石英脉中金红石特征与成因[J]. 矿物学报, 43(2): 201-214.

    • 谭东波, 李东永, 肖益林. 2018. “孪生元素”铌-钽的地球化学特性和研究进展[J]. 地球科学, 43(1): 317-332.

    • 王汝成, 朱金初, 张文兰, 谢磊, 于阿朋, 车旭东. 2008. 南岭地区钨锡花岗岩的成矿矿物学: 概念与实例[J]. 高校地质学报, 14(4): 485-495.

    • 肖益林, 黄建, 刘磊, 李东永. 2011. 金红石: 重要的地球化学“信息库”[J]. 岩石学报, 27(2): 398-416.

    • 徐少康. 2011. 方城县柏树岗金红石矿床40Ar-39Ar法年龄及其地质意义[J]. 中国非金属矿工业导刊, (6): 55-57, 6.

    • 赵振华, 熊小林, 王强, 乔玉楼. 2008. 铌与钽的某些地球化学问题[J]. 地球化学, 37(4): 304-320.

    • 赵一鸣. 2008. 金红石矿床的类型、分布及其主要地质特征[J]. 矿床地质, 27(4): 520-530.

    • 张国伟, 张本仁, 袁学诚, 肖庆辉. 2001. 秦岭造山带与大陆动力学[M]. 北京: 科学出版社.

    • 张洋, 王勇, 包峻帆, 景斐媛, 刘浩, 胡玉峰. 2018. 河南付金川金红石矿床地质特征及远景评价[J]. 现代矿业, 34(11): 7-12.

    • 张勇, 李泽峰, 刘国燕, 赵永亮, 丁兆滨. 2024. 东昆仑榴辉岩型金红石矿找矿前景探讨[J]. 矿产勘查, 15(3): 364-372.