杆塔下隐伏采空区AMT探测数值模拟研究
doi: 10.20008/j.kckc.202512010
林大铭1,2 , 张文伟2,3,4 , 张丹妮1 , 晏合国1,2 , 李冠辰1,2 , 真齐辉3,5 , 刘国强2,3,4 , 李艳红2,3,4 , 李士强2,3,4
1. 沈阳化工大学,辽宁 沈阳 110142
2. 中国科学院电工研究所,北京 100190
3. 中国科学院大学,北京 100049
4. 齐鲁中科电工先进电磁驱动技术研究院,山东 济南 250000
5. 中国科学院地质与地球物理研究所,北京 100029
基金项目: 本文受深地国家科技重大专项全息三维电磁探测装备(2024ZD1002902)与齐鲁中科电工先进电磁驱动技术研究院科研基金联合资助
Numerical simulation of audio-frequency magnetotelluric method for goaf under transmission towers
LIN Daming1,2 , ZHANG Wenwei2,3,4 , ZHANG Danni1 , YAN Heguo1,2 , LI Guanchen1,2 , ZHEN Qihui3,5 , LIU Guoqiang2,3,4 , LI Yanhong2,3,4 , LI Shiqiang2,3,4
1. Shenyang University of Chemical Technology, Shenyang 110142 , Liaoning, China
2. Institute of Electrical Engineering, Chinese Academy of Sciences, Beijing 100190 , China
3. University of Chinese Academy of Sciences, Beijing 100049 , China
4. Institute of Advanced Electromagnetic Drive Technology of Qilu Zhongke Electrical Engineering, Jinan 250000 , Shandong, China
5. The Institute of Geology and Geophysics, Chinese Academy of Sciences, Beijing 100029 , China
摘要
煤矿采空区易形成积水空腔,诱发地表塌陷,对输电线路的安全稳定运行构成严重威胁。煤层的采深及采厚与采空区上方地基稳定性密切相关,大深度、小采厚的隐伏采空区探测难度大,危害性极大。然而,传统采空区探测方法在复杂地形电力杆塔环境的应用场景下,难以同时满足设备便携性和大探测深度的需求。音频大地电磁法(AMT)是一种被动源电磁探测方法,设备轻便,探测深度大,在电力杆塔下采空区探测方面具有重大潜力。本文针对隐伏采空区,构建了数值仿真地电模型,系统分析了不同电阻率(10-2 ~ 108 )和采厚比(30~130)的采空区的可探测性。研究表明,埋深和电导率差异是影响探测灵敏度的关键因素。一方面,随着埋深增加,灵敏度减小;另一方面,随着目标体与围岩电性差异增大,灵敏度先升高后趋于稳定。此外,本文还建立了最优探测频率与埋深的定量关系。随着埋深增加,最优探测频率遵循幂函数规律向低频偏移,并且可探测频带范围随埋深增加而变窄。本研究为应用AMT探测杆塔下隐伏采空区奠定了理论基础。
Abstract
Coal mine goafs tend to form water-filled cavities, which may trigger surface subsidence and pose serious threats to the safe and stable operation of transmission lines. The depth and thickness of coal seams are closely related to the stability of foundations above goaf areas. Detecting concealed goafs with great depth and small mining thickness is particularly challenging and hazardous. However, conventional detection methods struggle to meet both the portability and deep detection requirements in the complex terrain where power towers are located. The audio magnetotelluric (AMT) method, a passive-source electromagnetic technique, offers lightweight equipment and large penetration depth, showing significant potential for detecting goafs beneath power towers. This study establishes a numerical geoelectric model for concealed goafs and systematically analyzes the detectability of goafs with varying resistivities (10-2 ~108 ) and mining thickness ratios (30~130). Research has shown that differences in burial depth and conductivity are key factors affecting detection sensitivity. On the one hand, as the burial depth increases, the sensitivity decreases; on the other hand, as the difference in electrical properties between the target body and the surrounding rock increases, the sensitivity first increases and then tends to stabilize. In addition, the article also established a quantitative relationship between the optimal detection frequency and burial depth. As the burial depth increases, the optimal detection frequency follows a power function law and shifts towards lower frequencies, and the detectable frequency band range narrows with increasing burial depth. This study lays a theoretical foundation for the application of AMT to detect hidden goaf under tower structures.
0 引言
采空区严重影响输电杆塔下地基稳定,甚至导致杆塔整体倾斜、倾覆,造成输电线路中断,对电网的安全运行构成重大威胁(于虹等,2022Zhang et al.,2022卢亚峰,2024揭文辉等,2025)。采空区埋深与厚度之比称为采厚比,采厚比与杆塔下地基稳定性密切相关。当采厚比大于 130 时,采空区一般不会影响杆塔的正常运行,可以不用采取结构措施(柳剑峰,2015)。当采厚比小于 30 时,通常地表变形剧烈,不满足输电线路塔基稳定性要求(张志沛和王红,2005)。然而,该类采空区理深相对较浅,探测难度相对较低。当采厚比处于 30~130 时,由于埋深较大、地表变形不显著,探测难度大,具有隐伏性(张银州等,2011)。隐伏性采空区,需要采取结构加固措施,若长期得不到有效治理和加固,会诱发地表发生位移、沉降、倾斜等变形,甚至导致杆塔基础产生沉降、倾斜甚至断裂,严重破坏塔基稳定性(刘阳,2020刘鹏强,2024)。
常用的电力杆塔下采空区探测方法应用于大深度、小采厚的隐伏性采空区仍极具挑战。高密度电法,可以依据岩土体电性差异有效识别富水采空区和空气采空区,但探测深度与探测分辨率受限于电极间距,难以兼顾大深度和小采厚(年兴平, 2024伍小刚等,2025)。瞬变电磁法,探测富水采空区时具有高检测精度、高分辨率优势,能够有效识别采空区位置、范围和埋深,但其对空气采空区探测效果不佳,并且瞬变电磁法依赖大型发射线圈,施工困难(Yu et al.,2024冒我冬等,2025Xiao et al.,2025)。探地雷达法,具有高分辨率的优势,但其探测深度有限(赵瑾瑛等,2018)。现有探测方法无法满足大深度、小采厚的隐伏性采空区探测需求,仍需发展新型隐伏采空区探测方法。
音频大地电磁法(Audio frequency Magnetotellu‐ ric,AMT)是一种历史悠久的被动源电磁探测方法,通过测量正交的电场和磁场得到地下电性分布与差异,实现地质目标的探测(张志宏等,2025)。 AMT 由苏联学者 Berdichevski 于 1969 年提出(柳建新等,2023),其理论基础可以追溯至 20 世纪 50 年代初由苏联学者 Tikhonov(1950)和法国学者 Cag‐ niard(1953)分别独立提出的大地电磁法(Magneto‐ telluric,MT)。自 AMT 提出以来,被广泛应用于油气、有色金属矿、地热、铀矿等矿产资源探测及工程地质勘探(吴有亮等,2016魏滨等,2020郑小明等,2021王茜等,2022王家俊等,2024王平等, 2024)。AMT探测杆塔下隐伏采空区具有很大的应用潜力。
由于 AMT 方法无需人工发射源,装备轻便,其探测深度和分辨率主要取决于频率,有望应用于杆塔下大深度、小采厚的隐伏采空区探测。根据典型的煤层采厚范围(0.8~10 m)(秦勇等,2000刘汉斌和郭建云,2021皇甫展鸿等,2024),本文构建了隐伏采空区的地电模型,采用数值模拟计算了AMT电磁场及视电阻率响应。通过系统分析目标体埋深、厚度和电阻率等关键参数对视电阻率和灵敏度的影响规律,初步验证了AMT可用于杆塔下隐伏采空区探测,并且给出了不同埋深和电阻率特征的采空区可探测性及最优探测频带。本研究可为推进 AMT在杆塔下采空区探测中的应用奠定理论基础。
1 理论与方法
1.1 音频大地电磁(AMT)
音频大地电磁法(AMT)以天然交变电磁场作为场源。当该电磁场以波的形式在地下介质中传播时,由于电磁感应效应,地表观测到的电磁场响应蕴含了地下介质电阻率分布的信息。通过处理与分析电磁响应,得到电阻率大小及空间分布,并据此推断地下地质结构及地层岩性划分。
AMT 在地表观测两组相互正交的电磁场分量 (ExHy)与(EyHx),通过傅里叶变换将电磁场时间序列的数据转换为频率域数据,并计算两个不同方向上的视电阻率ρxyρyx
ρxy=1ωμExHy2
(1)
ρyx=1ωμEyHx2
(2)
式(1~2)中,ρxyρyx代表视电阻率(Ω·m),ω代表角频率(rad/s),μ代表磁导率(H/m),ExEy为电场强度(V/m),HxHy为磁场强度(A/m)。
在准静态近似条件下(位移电流可忽略),电磁波在导电介质中传播时表现出趋肤效应,其理论趋肤深度定义为场强衰减至地表值的 1/e 时的深度,由下式给出:
δ503ρf
(3)
式(3)中,δ 代表趋肤深度(m),ρ 代表视电阻率 (Ω·m),f代表频率(Hz)。
1.2 采空区模型
基于上述采空区影响机制及煤层厚度特征,本研究构建了一维地电模型以模拟杆塔下采空区电性特征(图1)。模型设计核心参数如下:目标体埋深为 30~130 m,选取 1 m 和 5 m 两种典型厚度。模型背景电阻率为 100 Ω·m,目标体贯穿于整个模型中,电阻率为10-2~108 Ω·m。
1采空区模型
1.3 灵敏度
在基于经典最优化的音频大地电磁法数据中,目标函数中均包含灵敏度(root mean square error, RMSE),它表征背景模型所产生的响应与目标体模型所产生的响应之间的差异。背景模型与目标体模型之间的灵敏度的大小是目标体是否能被识别的重要依据,灵敏度值越大,表明异常响应越明显。
灵敏度计算公式为(Key,2009李海,2016):
xRMSE=1NΣi=1Ndim-dibsi2×100%
(4)
式(4)中,N 为频率数量,dmi 为视电阻率值(Ω· m),dbi 背景电阻率(Ω·m),si表示数据噪声(Ω·m)。
2 富水采空区模型分析
根据实际煤层地质条件及其对杆塔稳定性的影响,构建富水采空区模型。目标体埋深范围为 30~130 m,厚度为 1 m,采空区电阻率范围为 0.01~10 Ω·m,背景电阻率100 Ω·m。分别从埋深和电阻率一维分析、二维分析、灵敏度分析和埋深等几个方面系统研究富水采空区的异常特征。
2.1 埋深和电阻率异常一维分析
电阻率为0.01 Ω·m富水采空区,不同埋深(30~130 m)所对应视电阻率曲线如图2所示。可以看出,对于固定埋深,在低频阶段,视电阻率值接近背景电阻率。随频率升高,目标体影响显著,视电阻率呈现谷值异常。频率进一步增加,视电阻率值恢复至背景电阻率。这是因为当频率过高或者过低时,高频电磁波主要受背景电阻率影响,对采空区异常不敏感。通过比较不同的埋深条件,可知随着目标体埋深变浅,视电阻率谷值幅值增大,相应谷值对应的频率增加。
2富水采空区不同埋深视电阻率曲线
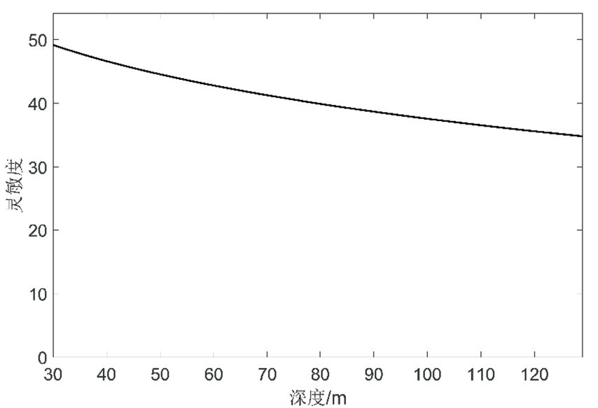
采用灵敏度公式(4)进行处理分析,电阻率为 0.01 Ω·m的富水采空区灵敏度随深度的变化如图3所示。可以看出,当埋深较小时,灵敏度值最大,接近 50。随着埋深增加,灵敏度值逐渐减小,但是仍然大于35。这说明,富水采空区在采厚比30~130范围内均能够被有效探测到,埋深越浅,异常越显著,更易探测。
3富水采空区不同埋深灵敏度
为分析真实煤层埋深对杆塔地基稳定性的影响,还需要分析不同的采空区电阻率,采空区电阻率取值范围为 0.01 Ω·m、0.2 Ω·m 与 4.64 Ω·m。不同埋深和不同电阻率条件的视电阻率随频率变化的响应特征如图4所示。可以看出,对于不同埋深条件,电阻率值由 0.01 Ω·m 增加到 4.64 Ω·m,视电阻率谷值异常幅度变弱,相应谷值所对应的频率也升高。对于相同的电阻率条件,随着埋深增加,视电阻率异常变弱,这与前文结果一致。
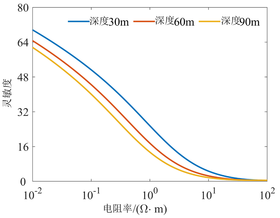
灵敏度随深度变化的结果如图5所示。图中绘制了3种不同埋深(30 m、60 m、90 m)下灵敏度值随电阻率变化的曲线。从结果可以看出,在相同电阻率条件下,埋深为 30 m 时灵敏度值最大,随着埋深增加 60 m 和 90 m,对应灵敏度值逐渐减小。同时,对于固定埋深对应的曲线,随着目标体电阻率增大,灵敏度值均逐渐降低,并最终趋于零。该现象表明,当目标体电阻率逐渐接近背景电阻率时,二者之间的电性差异减小,异常响应减弱至无法分辨。总之,在浅埋条件下,即使目标体与围岩之间的电阻率差异较小,仍可产生较明显的异常响应。随着埋深增加,探测能力逐渐减弱。当目标体电阻率逐渐接近背景值,异常响应显著降低。
4富水采空区电阻率-深度变化视电阻率曲线
5富水采空区电阻率-深度变化灵敏度
2.2 埋深和电阻率异常二维分析
在电磁探测研究中,一维图通常表现单一变量 (如频率或深度)与视电阻率的线性关系,难以全面呈现多参数耦合作用下的异常响应特征。相比之下,二维图通过横纵坐标系统集成双变量分析,可清晰揭示目标体埋深与频率之间规律。针对富水采空区这一典型地球物理场景,目标体设定为电阻率 0.01 Ω·m、厚度 1 m。如图6所示,通过频率与埋深的耦合关系,直观展示了富水采空区在多参数影响下的异常响应,并给出埋深一定时对应的最优频率。
视电阻率异常相对大小分析常用归一化进行处理,如式(5)所示,其通过百分比形式量化电阻率 ρa相对于背景电阻率ρ0的偏离程度。这种归一化处理消除了背景绝对值的影响,使得不同深度的异常幅值可以进行直接比较,为精准解读地下目标体的性质和分布提供了关键依据。
ρ=ρa-ρ0ρ0×100%
(5)
式(5)中,ρa 代表视电阻率(Ω·m)、ρ0 代表背景电阻率(Ω·m)。
分析表明:探测频带集中分布于1~105 Hz频段,该区间内归一化响应值显著偏离背景场,显示出明显的富水异常特征。同时,异常响应范围随埋深增加呈现系统性减小趋势。具体而言,在浅部 30~60 m 异常区覆盖频带较宽,而深部 90~130 m 仅在 50~104 Hz 率附近,且响应幅度显著减弱。图6中黑色曲线表征了异常体埋深变化时对应的最优探测频率变化趋势,即在一定埋深条件下能够实现最佳探测效果的中心频率。基于该曲线拟合得到的幂函数关系,其表达式为:
h=4847.21f-0.86
(6)
式(6)中,f表示最优探测频率(Hz),h为对应的埋深(m)。该拟合函数表明,异常体埋深与最优探测频率之间呈现出以幂函数为特征的关系。随着埋深增加,频率总体呈下降趋势,可为优化探测方案、提升探测精度提供指导。
6富水采空区埋深与频率变化关系
图7表示富水采空区电阻率-深度变化二维图。并通过式(5)进行归一化数据处理,对异常响应进行可视化表征,其中蓝色代表背景电阻率水平,黄色则表示异常响应区域。目标体设置为电阻率 0.01 Ω·m、厚度 1 m,分析了其在不同埋深(30 m、60 m、90 m)下的电磁响应规律。分析表明:探测频带随深度增加呈现系统性缩减趋势,当目标体埋深为 30 m 时,异常响应集中于(10-2~105 Hz)频段。埋深增至 60 m 时,响应范围收缩至(10-2~104 Hz)。埋深达 90 m 时,响应进一步缩小至(10-2~5×103 Hz)。这种变化规律源于电磁波衰减效应与埋深的负相关性:高频信号能量衰减快,对浅部异常敏感,低频信号虽能穿透至深部,但分辨率显著降低,导致深部异常仅能在有限频带内被有效识别。
3 空气采空区模型分析
根据实际煤层地质条件及其对杆塔稳定性的影响,构建空气采空区模型,其中目标体埋深范围为 30~130 m,厚度为 5 m,采空区电阻率为 100~108 Ω·m,背景电阻率 100 Ω·m。分别从埋深和电阻率一维分析、二维分析、灵敏度分析和埋深等几个方面系统研究空气采空区的异常特征。
3.1 埋深和电阻率异常一维分析
针对电阻率为 108 Ω·m 的空气采空区,图8展示了其在 30~130 m 埋深范围内的视电阻率曲线。可以看出,对于固定埋深,在低频阶段,视电阻率值接近背景电阻率。随频率升高,目标体影响显著,视电阻率呈现峰值异常。频率进一步增加,视电阻率值恢复至背景电阻率。这是因为当频率过高或者过低时,高频电磁波主要受背景电阻率影响,对采空区异常不敏感。通过比较不同的埋深条件,可知随着目标体1埋深变浅,视电阻率峰值幅值增大,相应峰值对应的频率增加。
采用灵敏度公式(4)对电阻率为 108 Ω·m 空气采空区进行处理分析,灵敏度随深度的变化如图9所示。可以看出,当埋深较浅时灵敏度值最大,接近3。随着埋深增加,灵敏度值逐渐减小,但是仍然大于1。这说明,空气采空区在采厚比30~130范围内均能够被有效探测到,且埋深越浅,异常越显著,更易探测。
7富水采空区电阻率与深度变化关系
8空气采空区不同埋深视电阻率曲线
9空气采空区不同埋深灵敏度
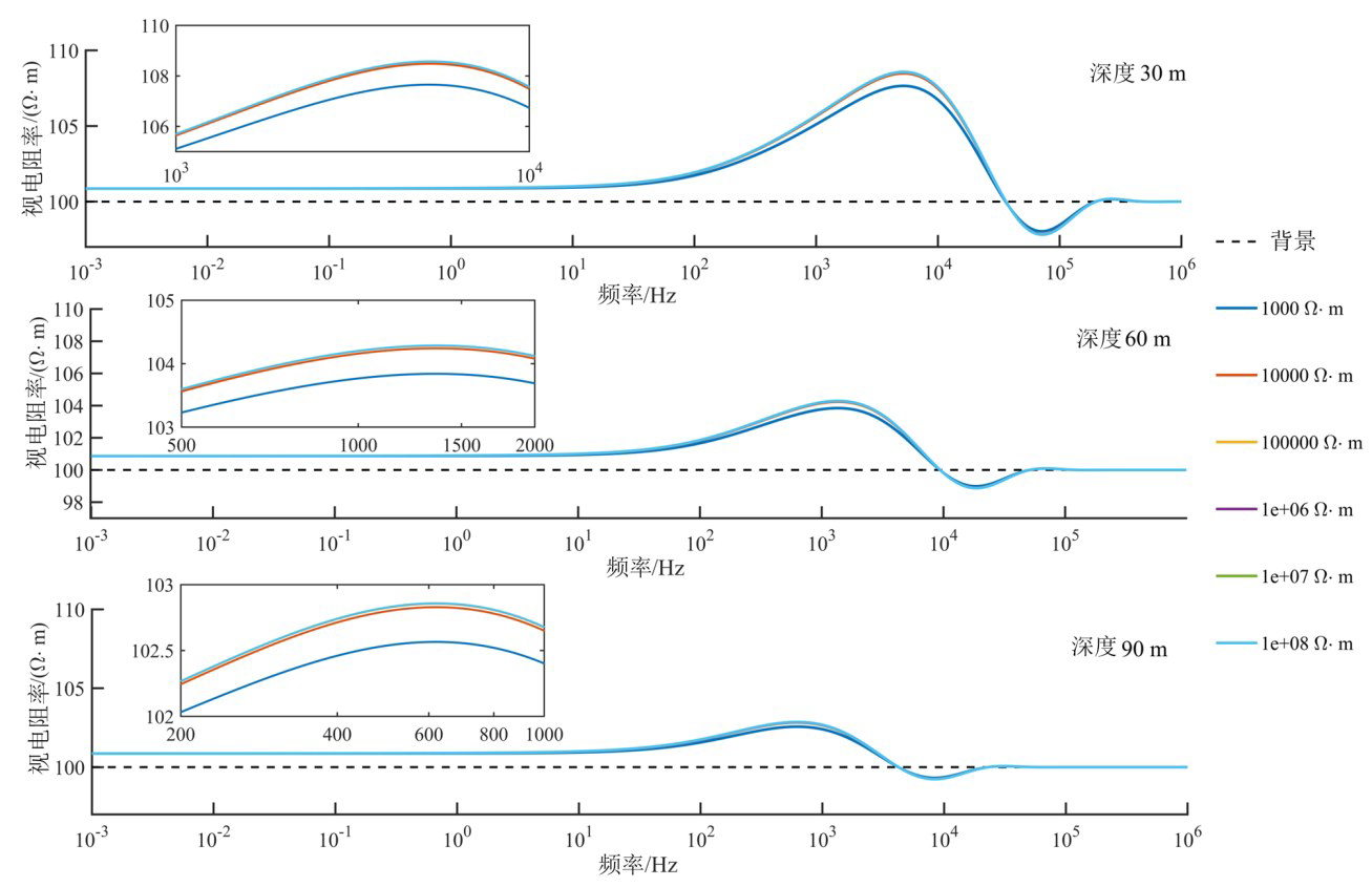
为分析真实煤层埋深对杆塔地基稳定性的影响,需进一步分析不同的采空区电阻率的影响。采空区电阻率取值范围为 103~108 Ω·m不同埋深和不同电阻率条件的视电阻率随频率变化的响应特征如图10所示。可以看出,对于不同埋深条件,电阻率值视电阻率峰值异常幅度变弱,相应峰值所对应的频率也升高。在相同电阻率条件,随着埋深增加,视电阻率异常减弱,这与前文结果一致。
图11为3种不同埋深(30 m、60 m、90 m)下灵敏度值随目标体电阻率 102~108 Ω·m变化关系。结果表明,在相同电阻率条件下,埋深为 30 m 时灵敏度值最大,随着埋深增加(60 m 和 90 m),对应灵敏度值逐渐减小。同时,对于任一固定埋深对应的曲线,随着目标体电阻率增大,灵敏度值均逐渐增大并趋于零。该现象表明,当目标体电阻率逐渐接近背景电阻率时,二者之间的电性差异减小,异常响应减弱至难以识别。综上,在浅埋情况下,即使目标体与围岩之间的电阻率差异较小,仍可产生较明显的异常响应。随着埋深增加,探测能力逐渐减弱。当目标体电阻率逐渐接近背景值,异常响应显著降低。
10空气采空区电阻率-深度变化视电阻率曲线
11空气采空区电阻率-深度变化灵敏度
3.2 埋深和电阻率异常二维分析
图12所示,在空气采空区模型中,目标体设定为电阻率 108 Ω·m、厚度 5 m,图中视电阻率数据通过式(5)进行归一化处理。其中蓝色代表背景电阻率水平,黄色为异常响应区域。分析表明:探测频带集中分布于50~105 Hz频段,该区间内归一化响应值显著偏离背景场,显示出明显的空气异常特征。同时,异常响应范围随埋深增加呈现系统性减小趋势。具体而言,在浅部(30~60 m)异常区覆盖频带较宽,而深部(90~130 m)仅在频率附近,且响应幅度显著减弱。图中黑色曲线表征了异常体埋深变化时对应的最优探测频率变化趋势,即在一定埋深条件下能够实现最佳探测效果的中心频率。基于该曲线拟合得到的幂函数关系,其表达式为:
h=2568.73f-0.52
(7)
式(7)中,f表示最优探测频率(Hz),h为对应的埋深(m)。该拟合函数表明,异常体埋深与最优探测频率之间呈现出以幂函数为特征的关系。随着埋深增加,频率总体呈下降趋势,可为优化探测方案、提升探测精度提供指导。
12空气采空区不同埋深变化关系
图13所示为空气采空区电阻率-深度变化二维图。数据经式(5)进行归一化处理,图中蓝色代表背景电阻率水平,黄色则表示异常响应区域。目标体设置为电阻率 108 Ω·m、厚度 1 m,分析了其在不同埋深(30 m、60 m、90 m)下的电磁响应规律。分析表明:探测频带随深度增加呈现系统性缩减趋势,当目标体埋深为 30 m 时,异常响应集中于频段 (102~5×104 Hz)。埋深增至 60 m 时,响应范围收缩至(80~9×103 Hz)。埋深达90 m时,响应进一步缩小至(80~5×103 Hz)。这种变化规律源于电磁波衰减效应与埋深的负相关性:高频信号能量衰减快,对浅部异常敏感,低频信号虽能穿透至深部,但分辨率显著降低,导致深部异常仅能在有限频带内被有效识别。
13空气采空区电阻率-深度变化关系
4 结论
本研究表明,杆塔下采空区的最优探测频率需综合其埋深、电阻率及几何参数优选而定。通过系统分析不同埋深和不同电阻率条件下的一维、二维视电阻率响应及灵敏度分布,得出以下结论:
(1)目标体埋深时选择探测频率的关键决定因素,目标体在特定频段内表现出明显的视电阻率峰值(空气采空区)或谷值(富水采空区),该响应的中心频率随埋深增加向低频偏移,且幅值逐渐衰减。异常体埋深与最优探测频率之间的变化关系可通过一个幂函数较好地描述,该关系表明随着埋深增加,最优探测频率总体呈现上升(空气采空区)或下降(富水采空区)趋势。
(2)当埋深位于 30 m 时,富水采空区推荐使用频段(10-2~105 Hz)频段,空气采空区推荐使用(102~5×104 Hz)。当埋深位于60 m时,富水采空区推荐使用频段(10-2~104 Hz),空气采空区推荐使用(80~9× 103 Hz)。当埋深位于90 m时,富水采空区推荐使用频段(10-2~5×103 Hz),空气采空区推荐使用 80~5× 103 Hz,这为针对不同埋深目标进行频率探测提供了一定的理论依据。
(3)异常响应范围与埋深密切相关,异常响应敏感区随埋深增加呈现系统性收窄,对于浅部目标 (30~60 m),其响应频带较宽,异常信号强,易于识别。而对于深部目标(90~130 m)仅局限于较窄低频段,响应微弱。
(4)灵敏度值与电阻率值和埋深相关联。在相同电阻率条件下,灵敏度值随埋深增加而减小。在固定埋深下,灵敏度值随目标体与围岩电性差异增大而升高,并在差异极大时趋于稳定。
(5)综合来看,富水采空区视电阻率与背景电阻率的相对差异比空气采空区大,形成显著低阻异常,故灵敏度高,易于探测。
本研究明确了不同地质条件下异常响应频段与探测能力的变化规律,验证了其可探测性,可为电力部门制定杆塔采空区探测规范提供理论依据,以及为实际工程中针对杆塔下隐伏采空区的探测方案的优化、频率参数优化提供了理论依据与数据支持。然而 AMT 低频段对应深部信息,分辨率受限。未来研究将通过提高信噪比、优化阵列观测系统、发展二维/三维高精度反演算法等技术提升AMT 低频探测分辨率。
1采空区模型
2富水采空区不同埋深视电阻率曲线
3富水采空区不同埋深灵敏度
4富水采空区电阻率-深度变化视电阻率曲线
5富水采空区电阻率-深度变化灵敏度
6富水采空区埋深与频率变化关系
7富水采空区电阻率与深度变化关系
8空气采空区不同埋深视电阻率曲线
9空气采空区不同埋深灵敏度
10空气采空区电阻率-深度变化视电阻率曲线
11空气采空区电阻率-深度变化灵敏度
12空气采空区不同埋深变化关系
13空气采空区电阻率-深度变化关系
Cagniard L. 1953. Basic theory of the magneto-telluric method of geo-physical prospecting[J]. Geophysics, 18: 605-635.
Hai L H, Xue G Q, Zhou N N, Chen W Y. 2015. Appraisal of an array TEM method in detecting a mined-out area beneath a conductive layer[J]. Pure Applied Geophysics, 172(10): 2917-2929.
Key K. 2009. 1D inversion of multicomponent, multifrequency marine CSEM data: Methodology and synthetic studies for resolving thin re-sistive layers[J]. Geophysics, 74(2): 9-20.
Tikhonov N A. 1950. On determining electric characteristics of the deep layers of the Earth’s crust[J]. Doklady, 73(2): 295-297.
Xiao J, Han S L, Duan X Z, Zhao P T, Shen G J, Xie Y S, He H Y, Deng Z X, Liu W, Yan Y P. 2025. Coal mine hidden disaster detection based on opposing coils transient electromagnetic method[J]. Litho-sphere, (1): 1-10.
Yu C T, Ma J, Xue J J. 2024. Simulation and analysis of the transient electromagnetic method response in double-layer water-filled goaf in coal mines[J]. Journal of Geophysics and Engineering, 21(3): 782-795.
Zhang S F, Fan Z C, Sun L Q, Qiu J H. 2022. Influence of goaf on stabil-ity of transmission line tower foundation[J]. E3S Web of Confer-ences, 358: 1-5.
皇甫展鸿, 吕文雅, 唐英航, 曾联波, 邓泽, 吴雨蕙. 2024. 深层煤层气储层现今地应力测井计算方法: 以大宁—吉县地区本溪组煤层为例[J]. 地质科学,59(6):1662-1674.
揭文辉, 张策, 黄燕鹏, 程思思, 卢辉雄, 张恩. 2025. 云南省易门县铜矿采空区地面塌陷特征及风险性评价[J]. 矿产勘查,16(7):1730-1739.
李海. 2016. 多道瞬变电磁法数据处理关键技术研究与应用[D]. 北京: 中国科学院地质与地球物理研究所.
刘汉斌, 郭建云. 2021. 山西薄煤层地层分布特征研究[J]. 中国煤炭地质,33(7):7-11,45.
刘鹏强. 2024. 煤矿采空区对输电线路塔基稳定性的影响分析[J]. 矿业装备,(12):55-57.
刘阳. 2020. 基于 GPR 的隐伏采空区探测正演响应特征[J]. 煤炭科技,41(3):6-10.
柳剑锋. 2015. 煤矿采空区对输电线路塔基稳定性的影响[J]. 电力勘测设计,12(6):22-26.
柳建新, 刘嵘, 郭荣文, 童孝忠, 谢维. 2023. 电磁法在有色金属矿产勘查中的研究进展[J]. 中国有色金属学报,33(1):261-284.
卢亚峰. 2024. 采空区影响下露天煤矿边坡稳定性研究[J]. 矿产勘查,15(S1):77-83.
冒我冬, 白锦琳, 骆燕, 张伟盟, 程莎莎. 2025. 浅析地空瞬变电磁在煤矿采空区的探测效果[J]. 矿产勘查,16(S1):181-188.
年兴平. 2024. 高密度电法在后峡煤矿采空区勘察中的应用[J]. 新疆有色金属,47(6):49-50.
秦勇, 叶建平, 林大扬, 焦思红, 李贵中. 2000. 煤储层厚度与其渗透性及含气性关系初步探讨[J]. 煤田地质与勘探,28(1):24-27.
王家俊, 杨炳南, 朱大伟, 韩姚飞, 张德实. 2024. 音频大地电磁法在黔西南金矿区域地电特征研究中的应用[J]. 工程地球物理学报,21(4):611-620.
王平, 黄兆辉, 赵运新, 杨洪海, 竺林, 罗军. 2024. 音频大地电磁法在重庆璧山地热勘查中的应用[J]. 电声技术,48(6):18-21.
王茜, 王身龙, 罗志波, 夏俣羲, 雷清, 韩杰. 2022. 音频大地电磁法在白龙江引水隧洞勘察中的应用[J]. 勘察科学技术,(6):56-60.
魏滨, 李英宾, 张伟, 张俊伟, 张占彬, 李毅. 2020. AMT法在塔里木盆地吐格尔明背斜及含铀地层识别中的应用[J]. 矿产勘查,11 (11):2515-2521.
吴有亮, 李金玺, 邓艳. 2016. 两种电磁法在油气管道工程勘察中的应用[J]. 天然气与石油,34(5):12,99-104.
伍小刚, 朱锐杰, 寇正中, 周世文, 李彦彬. 2025. 高密度电法在叙大铁路凉水井段充水采空区探测中的应用[J]. 四川地质学报,45 (1):170-173.
于虹, 李昊, 康彪, 汪大海, 张志强, 张贵峰, 张海鹏. 2022. 采空塌陷区输电杆塔基础变形率限值研究[J]. 中国电力,55(12):124-134.
张银洲, 王鹏飞, 杨喆. 2011. 采空区地表变形与采深采厚比关系探讨[J]. 陕西煤炭,30(4):19-21.
张志宏, 侯作亮, 杨士超, 李梦莹, 黄明威. 2025. 基于AMT的地电阻率观测场地优化选择研究——以辽宁新城子深井地电阻场地为例[J]. 大地测量与地球动力学,45(4):436-440.
张志沛, 王红. 2005. 某高速公路下伏煤矿采空区稳定性分析[J]. 煤田地质与勘探,33(1):46-48.
赵瑾瑛, 于爱文, 张尧声. 2018. 探地雷达在晋城某变电站采空区探测中的应用[J]. 电力勘测设计,(S1):114-118.
郑小明, 倪杰才, 郭刚, 方维萱, 王宏伟. 2021. 音频大地电磁测深在甘肃红石山蛇绿混杂岩带三维地质建模中的应用[J]. 矿产勘查,12(7):1602-1609.