鲁西圣水峪地区变角闪辉长岩年代学、地球化学特征及其构造意义
doi: 10.20008/j.kckc.202602002
张龙1 , 张兴康2 , 刘阳1 , 刘继勇1 , 许浩杰1
1. 山东省第四地质矿产勘查院,山东 潍坊 261021
2. 河北省地质调查院,河北 石家庄 050227
基金项目: 本文受山东省省级地质勘查项目(鲁勘字[2022]61号)资助
Geochronology, geochemistry characteristics and tectonic significance of meta-hornblende gabbro in Shengshuiyu area, western Shandong Province
ZHANG Long1 , ZHANG Xingkang2 , LIU Yang1 , LIU Jiyong1 , XU Haojie1
1. Shandong Provincial No. 4 Institute of Geological and Mineral Survey, Weifang 261021 , Shandong, China
2. Hebei Institute of Geological Survey, Shijiazhuang 050227 , Hebei, China
摘要
鲁西新太古代经历多期华北克拉通化和地壳增生作用,在圣水峪地区广泛分布闪长岩和二长花岗岩,其形成时代为 2540~2530 Ma。在圣水峪地区新太古界结晶基底中发育的变角闪辉长岩包体,本文对其开展岩相学、锆石 U-Pb年代学和地球化学的研究,揭示其岩浆演化特征、岩浆源区信息及构造格架。研究发现变角闪辉长岩以贫 K2O、Na2O>K2O 为特征,里特曼指数 σ 为 2.07~5.91,属于碱性系列;Nb/Ta 值为 14.90~31.30,比值中等,岩浆源区来自岩石地幔;全岩∑REE 中等(39.31×10-6 ~199.28×10-6 ),LREE/ HREE为 4.74~12.10,(La/Yb)N值为 2.82~16.90,显示轻稀土元素富集,δEu为 0.78~1.19,显示微弱负 Eu 异常。变角闪辉长岩锆石 U-Pb年龄为(2558±17) Ma(MSWD=3.7,n=24),为新太古代晚期。岩石地球化学分析显示岩浆起源于亏损地幔源区,形成于岛弧环境,为洋壳板块俯冲至地幔,引发大规模岩浆侵位在地表形的基性—超基性岩体。
Abstract
The Western Shandong experienced multiple periods of North China cratonization and crustal accretion in Neoarchean, and monzogranite and diorite are widely distributed in shengshuiyu area. In this paper, petrogra‐phy, zircon U-Pb chronology and geochemistry are studied to reveal the magmatic evolution characteristics, magmatic source region information and tectonic framework of the metacorphogabbro inclusions developed in the Neoar-chean crystalline basement of Shengshuiyu area.The gabbros are characterized by poor K2O and NaO>K2O, and the Rittman index σ is 2.07-5.91, which belong to alkaline series. The Nb / Ta values range from 14.90 to 31.30, indicating that the magmatic source is from the mantle. The total amount of REE is moderate (39.31×10-6 -199.28×10-6 ), and the ratio of LREE/HREE is 4.74-12.10, while the (La/Yb)N value is 2.82-16.90, indicating that LREE is enriched. The δEu is 0.78-1.19, indicating weakly negative Eu anomaly. Zircon LA-ICP-MS U-Pb age of gabbro is (2558±17) Ma (MSWD=3.7, n=24), which is formed in the Neoarchean. The results of petro-geochemical analysis show that the magma originated from the depleted mantle region and formed in the island arc environment, and this basic-ultrabasic rock mass formed accompanied by the oceanic plate subducted to the mantle and large-scale magma emplacement on the surface.
0 引言
华北克拉通是世界上最古老的克拉通之一,存在 38 亿年的古老地壳(刘树文等,2007Liu et al., 2019Wu et al.,2019)并经历了复杂的演化历史 (Zhao et al.,2005Zhai and Santosh,20112013朱日祥等,2012)。华北克拉通古老岩石的形成峰值约为 2.5 Ga,约在 1.8 Ga 克拉通化完成进入稳定时期 (Wan et al.,20132014)。鲁西地区在大地构造位置上属华北克拉通东部(刘树文等,2021)(图1a),受去克拉通化和陆壳的增生事件的影响,区内强烈发育新太古代岩浆活动,形成大量以各类花岗质岩石为主的岩浆岩,与新太古代的变质表壳岩一起,形成了鲁西地区太古宙基底并多见报道(曹国权, 1996宋明春和王沛成,2003侯贵廷等,2004万渝生等,2012王跃等,2022)。多期次岩浆事件和变质变形事件组成了鲁西地区特有的太古宙花岗-绿岩带地体。前人的研究工作多集中于区内的新太古代岩浆岩和表壳岩的形成时代,对构造机制和壳幔演化进行研究(王跃等,2022),而对结晶基底中分布着大量的变角闪辉长岩包体研究较为薄弱,其形成时代和岩浆演化等关键问题尚不清楚,不利于华北克拉通中部鲁西地区的岩浆演化过程和地球动力学背景的研究。鉴于此,本文在详实的野外地质调查的基础上,以鲁西圣水峪地区新太古界结晶基底中发育的变角闪辉长岩包体为研究对象,对其开展岩相学、锆石 U-Pb年代学和地球化学的研究,揭示其岩浆演化特征、岩浆源区信息及构造格架,并为探讨华北克拉通中段的新太古界岩浆幔演化提供数据支持。
1 区域地质背景
鲁西圣水峪地区属于华北板块(Ⅰ)之鲁西隆起区(Ⅱ)之鲁中隆起(Ⅲ)分区(王来明等,2021)。区内地层由结晶基底和沉积盖层组成。其中,结晶基底主要为新太古代的 TTG岩系,多分布于研究区中南部;沉积盖层主要为寒武系长清群朱砂洞组钙质泥岩、白云质灰岩,地层产状比较平缓,与新太古代岩体呈异岩不整合接触,标志着该区地壳由陆块发展阶段向陆缘发展阶段演化。区内断裂主要有4 组(NW、NE、近EW和近SN),以脆性为主,构成区域格字状断裂构造格架(图1b)。
区内岩浆岩发育。Wan et al(.2013,2014)根据侵入岩的年代学、岩石组合类型及成因将鲁西地区的太古宙基底从东北到西南依次划分为A、B、C共3 个岩带:A带为新太古代晚期的壳源花岗岩,B带为新太古代早期的岩石,C 带为新太古代晚期的新生岩浆岩。本研究圣水峪地区的变角闪辉长岩,主要位于太古宙基底的 C 带内,该带主要出露新太古代晚期岩浆岩(2.56~2.50 Ga),主要岩性为花岗闪长岩和二长花岗岩(Wan et al.,20132014王跃等, 2022)。花岗闪长岩棕黄色,中细粒花岗结构,块状构造,主要由斜长石、钾长石和石英组成,含有少量黑云母,片麻理清晰,其U-Pb年龄主要为2537 Ma; 二长花岗岩灰白色,等粒花岗结构、似斑状结构,块状构造,主要由斜长石、钾长石、石英和黑云母组成,局部见斜长石斑晶,其 U-Pb 年龄主要为 2566 Ma(王跃等,2022)。花岗闪长岩和二长花岗岩均表现为高硅、高铝、富碱、富钠等特征,属准铝质岩石,其来源于2.9~2.8 Ga的古老地壳重熔。变角闪辉长岩主要呈包体大量分布于太古宙岩浆岩内。
1华北克拉通地质构造简图(a)及鲁西圣水峪南部地质简图(b)(据赵国春,2009
1 —第四系;2—奥陶系;3—寒武系;4—前寒武纪侵入体;5—变角闪辉长岩;6—破碎带;7—断层;8—角度不整合接触;9—地层产状;10—片麻理产状;11—地名;12—采样位置;AS—鞍山;CD—承德;DF—登封;FP—阜平;GY—固阳;HA—怀安;HL—贺兰山;HS—衡山;JN—集宁;JP— 建平;LL—吕梁;NH—冀北;NL—辽北;QL—部连山;SJ—吉北;SL—辽南;TH—太华;WD—乌控山—大青山;WL—辽西;WS—鲁西;WY—舞阳;WT—五台;XH—宣化;ZH—赞皇;ZT—中条
2 岩石地质和岩相学特征
2.1 地质特征
圣水峪一带中粗粒变角闪辉长岩呈包体产出 (图2a、b)。受构造作用影响,基本为NWW向展布,该期岩体在形成之后,被后期岩浆侵位破坏,普遍经受了变质作用。主要出露于泗水县幅的后等齐村—吉沃村、小河村、泗张镇、卢沟村北一带,单个侵入体规模较小,总面积约3.57 km2,具有成群成带分布的特点。
变角闪辉长岩共发育4个包体带,1号前等齐包体带,出露面积2.13 km2,展布方向为NWW向,变角闪辉长岩呈包体状分布于桃科单元中,构成包体带,共5个包体,其中前等齐、吉沃一带规模较大,亦为区内规模最大的 2个包体;2号小河村南包体带,出露面积 0.63 km2,展布方向为 NWW 向,变角闪辉长岩呈包体状分布于马家河单元中,共 4 个包体;3 号泗张镇包体带,出露面积 0.44 km2,展布方向为 NWW 向,变角闪辉长岩呈包体状分布于桃科单元以及邱子峪单元中,共4个包体,规模较小;4号卢沟村北包体带,出露面积 0.37 km2,展布方向为 NWW 向,变角闪辉长岩呈包体状分布于马家河单元中,发育 1 个包体。岩石普遍遭受变质作用影响,片麻理化弱发育,岩石表面风化为灰黄色、灰绿色,岩石普遍发育褐铁矿化、绿帘石化。部分包体中发育变质岩浆熔离型磁铁矿。
2二长花岗岩与辉长岩的侵位关系野外照片(a)和示意图(b)
υ—变角闪辉长岩;ηγ—二长花岗岩
2.2 岩石学特征
圣水峪地区包体主要为中粗粒变角闪辉长岩,主要岩石学特征如下:
岩石新鲜面为墨绿色,呈自形—半自形粒状结构,块状构造(图3);显微结构可见辉长结构,在地质体的边部,样品的显微结构局部显示出辉绿结构 (图3a)。主要矿物成分为斜长石,呈半自形柱状,大小 1~2 mm,局部可见聚片双晶、卡钠复合双晶 (图3d),含量55%~65%;单斜辉石,呈半自形柱状,大小 0.2~0.5 mm,包裹粒状磁铁矿(图3b),含量 5%~10%;角闪石,呈半自形—他形柱状,粒径 2~4 mm,填隙状分布于斜长石周围(图3c),含量 15%~20%;黑云母,呈片状,片径 1~2 mm,含量 1%~2%;石英,呈他形粒状,大小一般为 0.5~1.0 mm。
3圣水峪地区辉长岩岩体显微结构特征
a—岩体局部在显微镜下显示出辉绿结构;b—单斜辉石中包裹磁铁矿;c—淡绿色角闪石呈填隙状分布,围绕在斜长石周围;d—斜长石卡钠复核双晶;Pl—斜长石;Cpx—单斜辉石;Am—角闪石;Mt—磁铁矿;Py—黄铁矿
3 样品采集和测试方法
3.1 样品采集
本研究所用样品均采集于圣水峪东南的1号前等齐包体带内,选取较大的变角闪辉长岩包体中的新鲜岩石,共 7 件。其中,地球化学样品共采集 6 件,锆石U-Pb测年样品采集1件,采样位置见图1b,野外岩石照片见图4
4变角闪辉长岩野外照片
3.2 分析方法
锆石 U-Pb测年样品的制备和测试由中国冶金地质总局山东局测试中心完成。样品经破碎、淘洗、重液分选后,在双目镜下对锆石进行手工选取。将选好的锆石粘在环氧树脂柱上打磨、抛光,进行阴极发光和背散射照相等。具体测试方法见朱晓青等(2021)
变角闪辉长岩的主量、微量、稀土元素测试由山东省第四地质矿产勘查院实验测试中心完成。主量元素分析采用荧光光谱法,分析精度高于 5%。微量元素和稀土元素的测试方法详见高剑锋等 (2003)。其分析精度和准确度优于5%。
4 分析结果
4.1 锆石LA-ICP-MS U-Pb定年结果
样品的锆石阴极发光图像见图5。锆石呈半自形—自形,等轴—长柱状,粒径介于80~200 μm,长宽比为 1~2,内部结构清晰,核幔构造和振荡环带发育,表明为岩浆成因(王玺等,2024)。其相对较宽的振荡环带,一般认为高温条件下易形成宽的环带(吴元保和郑永飞,2004)。辉长岩为基性岩类,锆石的环带较宽,暗示岩浆结晶温度高。此次测试选择锆石边部振荡环带均匀处进行测试,经挑选共选择 24 颗锆石测试(表1),锆石的 Th、U 含量低,分别为 22×10-6~101×10-6、39×10-6~145×10-6。岩浆锆石具有较高 Th/U(一般>0.4)(吴元保和郑永飞, 2004),变质锆石 Th/U 比值小(一般<0.1)(Rubatto and Gebauer,2000)。本次所测点位的 Th/U 介于 0.37~0.89,具有典型的岩浆锆石特征(Belousova et al.,2002)。
锆石 U-Pb 年龄比较集中,数据点都较集中落入协和曲线附近,加权平均年龄为(2558±17) Ma (MSWD=3.7,n=24)(图6),表明圣水峪地区中粗粒变角闪辉长岩形成时代为新太古代晚期。
4.2 岩石地球化学特征
4.2.1 主量元素特征
圣水峪地区中粗粒变角闪辉长岩的主量元素分析结果见表2
岩石中 SiO2含量介于 42.88%~53.46%,平均值为 47.44%,属 SiO2低度不饱和的超基性—基性岩; Na2O含量介于1.62%~4.20%,平均值为2.98%;K2O 含量介于 0.48%~2.92%,平均值为 1.44%,相对贫 K2O,K2O/Na2O=0.17~0.82,总体显示富钠的特征; Al2O3 含量较低,介于 10.54%~19.49%,平均值为 15.17%;MgO 含量介于 3.47%~14.46%,平均为 7.94%,含量较高。里特曼指数 σ 为 2.07~5.91;镁铁比值 M/F 为 0.70~3.55;分异指数(DI)为 12.53~53.59;碱度指数A·R为1.23~1.78,与基性程度较高的岩体特征相吻合。在图7a中,样品主要落入碱性系列区,部分样品投在了亚碱性系列区域,说明岩石中富含普通角闪石,SiO2含量整体偏低,岩石显示出碱性系列;在图7b中,样品落入拉斑玄武岩系列区。
1圣水峪地区辉长岩U-Pb同位素测年数据
5锆石阴极发光图像和年龄值
6变角闪辉长岩锆石U-Pb年龄谐和图(a)和年龄加权平均值(b)
2圣水峪地区辉长岩主量元素(%)分析结果
4.2.2 微量、稀土元素特征
圣水峪地区中粗粒变角闪辉长岩微量、稀土元素分析结果见表3。岩石中稀土元素总量为∑REE =39.31×10-6~199.28×10-6,变化较大;轻稀土元素含量∑LREE=32.99×10-6~184.70×10-6;重稀土元素含量∑HREE=6.32×10-6~16.54×10-6;LREE / HREE = 4.74~12.10,平均值为 7.91,说明样品中轻、重两组稀土元素之间以及轻、重稀土元素内部分馏程度较弱。(La/Yb)N值为 3.72~16.90,平均值为 10.50,(La/ Sm)N值为0.89~3.15之间,平均值为2.14,说明岩石中轻稀土富集,轻稀土内部分馏程度大于重稀土内部分馏程度(唐建科等,2024);δEu为0.78~1.19,平均值为 0.99,显示微弱负 Eu 异常,表明岩石中存在少量的斜长石堆积作用发生(孙宣艳等,2018)。在稀土元素球粒陨石标准化模式图(图8a)上,曲线向右缓倾斜,为轻稀土相对富集、重稀土亏损,铕异常不明显的配分曲线特征,为同源岩浆岩化的产物 (孙志远等,2016)。
7圣水峪地区辉长岩硅碱图解(a)与AFM图解(b)(底图据杨承海,2007
在微量元素原始地幔标准化蛛网图上(图8b) 可以看出,Rb、Ba、Th、U 等大离子亲石元素相对富集,而Ta、Nb、Ti 等高场强元素相对亏损,亲铁元素 P 含量变化较大,总体含量偏高,Ni 含量变化不大; 高场强元素中,Zr、Ta、Nb 元素含量略低;低场强元素中,Ba、U、K元素含量略高于平均值,表明该辉长岩可能受到地壳混染或流体交代作用的影响(菅坤坤等,2018)。
3圣水峪地区辉长岩体微量和稀土元素(10-6)分析结果
5 讨论
5.1 成岩时代
受去克拉通化和陆壳的增生事件的影响,鲁西地区强烈发育新太古代岩浆活动,形成大量以各类花岗质岩石为主的岩浆岩。区内主要岩性为花岗闪长岩和二长花岗岩(Wan et al.,20132014王跃等,2022),成岩时代主要为 2.6~2.5 Ga(王跃等, 2022)。本次获得的圣水峪地区辉长岩的锆石U-Pb 年龄为(2558±17) Ma,为新太古代晚期岩浆活动的产物,早于鲁西类 TTG 花岗岩和壳源花岗岩(约 2500 Ma)(万渝生等,2012),属于第二次克拉通化和陆壳增生的产物,为鲁西地区新太古代岩浆活动时限提供了约束。
5.2 岩石成因和源区特征
研究区内岩石的分异指数 DI 值介于 12.53~53.59,平均值为32.0(表2)。在基性岩的范围内,岩石的 DI 值略微小于戴里安山岩 DI 值(56),大于苦橄岩DI值(12),表明其分异程度中等偏低。微量元素总体 Sr高 Ba低,深源重元素含量高,具有较低的稀土总量和稀土分馏程度,其幔源岩浆特征比较明显。
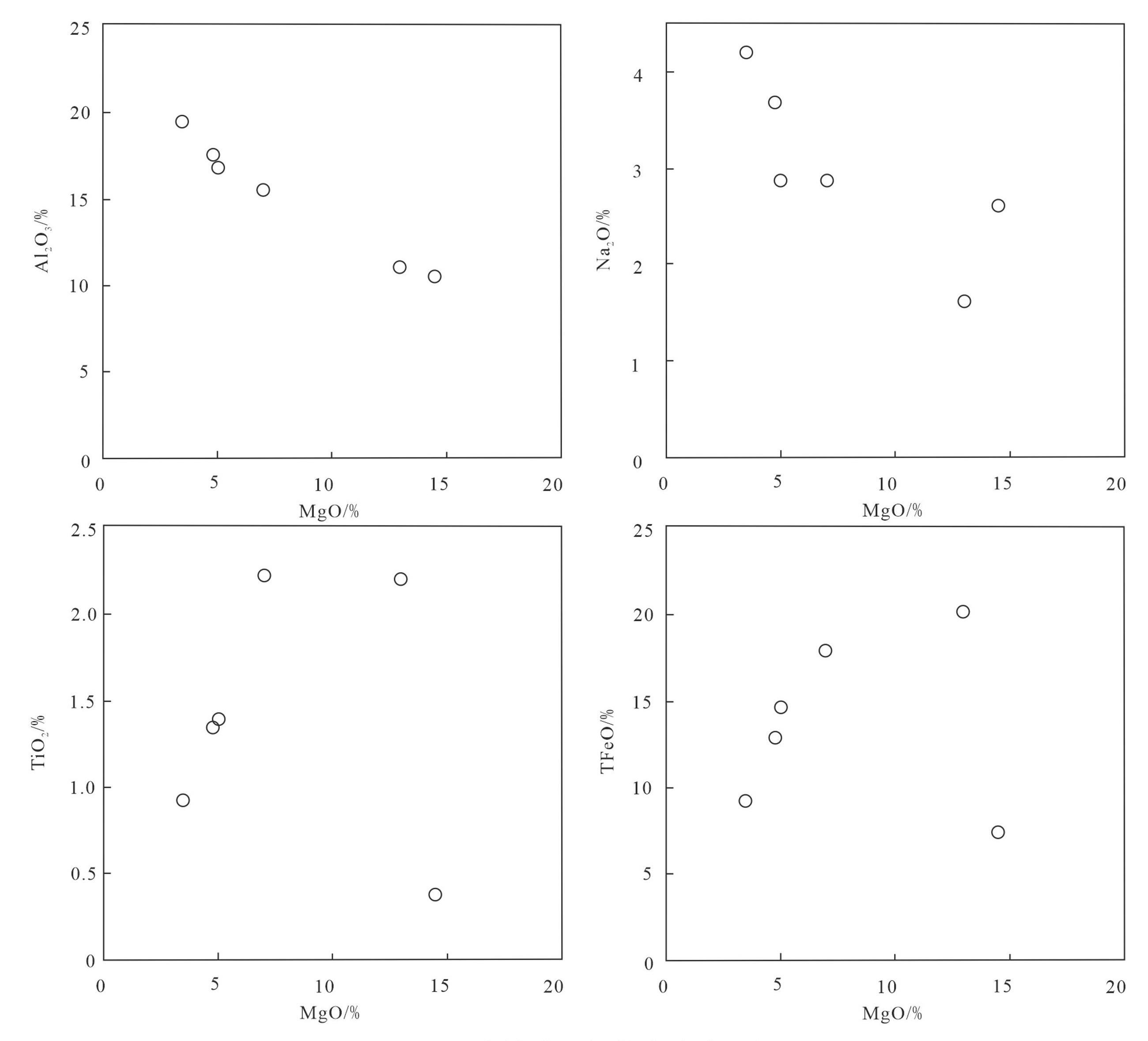
在 Harker 图解(图9)中,MgO 与 Al2O3、Na2O 有明显的负相关性,表明在岩浆演化过程中,斜长石并没有明显的结晶分离;MgO 与 TiO2、TFeO 正相关性很好,表明了暗色矿物、磷灰石及Ti-Fe氧化物显著的分离结晶。说明圣水峪变角闪辉长岩具有同源或近源特征(Zindler and Hart,1986
圣水峪地区辉长岩岩石类型主要是拉斑玄武岩系列,具有明显的 Nb、Th、Zr和 Ti负异常,富集大离子亲石元素 Ba、Ce、Sm,可能由俯冲板块的脱水作用和部分熔融作用造成(姜常义等,1995)。岩石的 Nb/Ta 比值为 14.09~31.3,平均值为 16.72,高于新太古代大陆地壳平均值(11~12)(Hofmann, 1988Green,1994)。岩石样品的 Zr/Nb 比值为 5.29~40.50,Sm/Nd 的比值为 0.16~2.12,表明岩浆源区主体为岩石地幔。辉长岩的 La/Ba-La/Nb 图解 (图10a)指示岩浆源区为俯冲交代的岩石圈地幔。 TiO2-(Na2O+K2O)判别图(图10b)显示为碳酸盐化橄榄岩部分熔融-角闪石岩熔融的趋势(张旗等, 2024)。
8稀土元素球粒陨石标准化模式图(a)和微量元素原始地幔标准化蛛网图(b)(球粒陨石、原始地幔标准化值据Sun et al.,1989
圣水峪地区辉长岩 La/Nb=1.26~21.7,平均为 6.02,大于 1.5;La/Ta=21.80~142.30,平均为 63.25,大于22,指示圣水峪辉长岩岩浆源区以幔源物质为主。(Th/Nb)PM平均值为2.26,大于1;Nb/La平均值为 0.38,小于 1,说明圣水峪地区辉长岩受到地壳的污染(张旗等,2024)。据 La/Sm-La 图解(图11),部分熔融趋势明显,属幔源分异型侵入岩类,与超基性—基性岩系与全球克拉通范围内地幔柱背景下形成的岩石组合特征一致,是地幔在不同深度发生的部分熔融形成的(李婷,2019)。
综上所述,圣水峪地区辉长岩岩浆可能来自岩石圈地幔的部分熔融,并在上升过程中与地壳物质发生同化混染。
9圣水峪地区辉长岩哈克图解
10La/Ba-La/Nb图解(a,底图据Woodhead et al.,2001)和TiO2-(Na2O+K2O)判别图(b,底图据张琪等,2024)
OIB—洋岛玄武岩;DM—亏损地幔;PM—原始地幔;CC—大陆地壳
11岩石单元La/Sm-La图解(底图据李婷,2019
5.3 岩浆岩的构造环境及大地构造意义
在新太古代中晚期,鲁西随着洋盆消减,出现洋内岛弧和大陆岛弧,洋壳板块俯冲至地幔,造成俯冲作用下的同碰撞事件(王跃等,2022),导致地幔柱的活动增强,造成约 2650 Ma 的地幔中熔融的岩浆上升至地表,在俯冲带的上部构成了火山岛弧,加之底侵的辉长岩混入使其更趋于镁铁质,即在鲁西形成了基性—超基性岩石。同时由于地幔物质的加入,导致了陆壳分层(翟明国,2019),下地壳上部发生强烈的混合岩化角闪岩相—角闪岩相变质作用,部分岩石发生深熔地质作用,形成了变角闪辉长岩等岩石。此次构造热事件为新太古代晚期岩浆事件的第一阶段(Yu et al.,2021),此阶段岩浆活动主要分布于鲁西华北克拉通的中部。伴随变质深熔的同时,岩石发生较强的韧性变形,岩浆作用扩展到整个鲁西。随着本阶段侵位、固结、变形的完成,导致了鲁西在 2650~2550 Ma 完成了第二次的克拉通化和陆壳的增生。
根据微量元素蛛网图走势,Nb 负异常明显,说明岩石的形成与俯冲作用有关;结合岩石中以角闪石为特有的铁镁质矿物成分,可以判断圣水峪地区的中粗粒变角闪辉长岩岩浆来源于地幔,属于火山弧环境。
通常利用 Zr 与 Y 元素可以有效判别大陆弧与洋内弧玄武质岩浆,圣水峪变角闪辉长岩的Zr/Y 值介于 1.77~11.14,平均值为 4.27,显示为典型的大陆弧(Zr/Y>3)特征。Nb-Nb/Th 图解(图12a)显示圣水峪变角闪辉长岩投点多分布于洋中脊-火山弧玄武岩之间。在 TFeO-MgO-Al2O3图解(图12b)中,样品在岛弧和活动大陆边缘及洋岛区,同样表明圣水峪地区的辉长岩形成于岛弧环境。
华北克拉通岩浆热事件在新太古代晚期达到顶峰(万渝生等,2020)。新太古代晚期(2550~2500 Ma),亦是鲁西规模最大的一次陆壳增生活动,形成鲁西南地区大面积分布的类 TTG 花岗岩,此类岩石形成于(2537±18) Ma(王跃等,2022),划归为峄山序列。峄山序列岩石中普遍发育的幔源型微粒包体,充分说明了这种岩浆混合作用。随着软流圈不断上涌,岩浆活动的进一步加强,下地壳熔融的范围逐渐扩大,产生大量的壳源钾质二长花岗岩浆向上侵位,形成了二长花岗岩,其形成于 2540~2530 Ma(杨帆等,2022),划归为傲来山序列。在峄山序列和傲来山序列中含有较多的捕虏体,此捕虏体大多为前期形成的基性—超基性岩石。伴随各期岩浆侵位同时,岩石发生较强的韧性变形、低角闪岩相变质和部分的深熔作用。本阶段侵位、固结、变形的完成,导致了该区第三次的克拉通化,也是鲁西规模最大的和最后一次克拉通化和陆壳的增生。之后鲁西地壳增生基本结束,形成新的板块构造。
圣水峪地区辉长岩体普遍遭受了新太古代晚期构造热事件的改造,被后期岩浆侵入破坏,导致其零星分布于区内壳源花岗岩和 TTG花岗岩中,多独立呈包体产出。
12岩石Nb-Nb/Th和TFeO-MgO-Al2O3环境判别图解(底图据张旗等,2024
6 结论
(1)泗水县圣水峪地区变角闪辉长岩体岩性及岩相单一,为中粗粒变角闪辉长岩。岩石分异程度偏低。岩石化学组成总体显示出钠质岩特点,属于拉斑玄武岩系列。微量元素Sr高Ba低,深源重元素含量高,具有较低的稀土总量和稀土分馏程度,指示圣水峪辉长岩岩浆源区为幔源物质为主,可能壳源物质的加入。
(2)泗水县圣水峪地区变角闪辉长岩体锆石UPb年龄为(2558±17) Ma,表明其形成时代为新太古代晚期。早于鲁西类 TTG花岗岩和壳源花岗岩,属于第二次克拉通化和陆壳增生的产物。
(3)圣水峪地区辉长岩体是随着洋盆消减,洋壳板块俯冲至地幔,发生大规模的(部分)熔融作用,大量岩浆侵位至地表,形成于洋内岛弧或大陆岛弧环境。
1华北克拉通地质构造简图(a)及鲁西圣水峪南部地质简图(b)(据赵国春,2009
2二长花岗岩与辉长岩的侵位关系野外照片(a)和示意图(b)
3圣水峪地区辉长岩岩体显微结构特征
4变角闪辉长岩野外照片
5锆石阴极发光图像和年龄值
6变角闪辉长岩锆石U-Pb年龄谐和图(a)和年龄加权平均值(b)
7圣水峪地区辉长岩硅碱图解(a)与AFM图解(b)(底图据杨承海,2007
8稀土元素球粒陨石标准化模式图(a)和微量元素原始地幔标准化蛛网图(b)(球粒陨石、原始地幔标准化值据Sun et al.,1989
9圣水峪地区辉长岩哈克图解
10La/Ba-La/Nb图解(a,底图据Woodhead et al.,2001)和TiO2-(Na2O+K2O)判别图(b,底图据张琪等,2024)
11岩石单元La/Sm-La图解(底图据李婷,2019
12岩石Nb-Nb/Th和TFeO-MgO-Al2O3环境判别图解(底图据张旗等,2024
1圣水峪地区辉长岩U-Pb同位素测年数据
2圣水峪地区辉长岩主量元素(%)分析结果
3圣水峪地区辉长岩体微量和稀土元素(10-6)分析结果
Belousova E A, Griffin W L, O’Reilly S Y, Fisher N. 2002. Igneous zir-con: Trace element composition as an indicator of source rock type[J]. Contributions to Mineralogy and Petrology, 143: 602-622.
Green T H. 1994. Significance of Nb/Ta as an indicator of geochemical processes in the crust-mantle system[J]. Chemical Geology, 120(3): 347-359.
Hofmann A W. 1988. Chemical differentiation of the Earth: The relation-ship between mantle, continental crust and oceanic crust[J]. Earth and Planetary Science Letters, 90(3): 297-314.
Liu S W, Fu J H, Lu Y J, Chen X, Wang M J, Hu F Y, Gao L, Sun G Z, Hu Y L. 2019. Precambran Hongqiyingzi Complex at the northern margin of the North China Craton: Its ziron U-Pb-Hf systematics, geochemistry and constraints on crustal evolution[J]. Precambrian Research, 326: 58-83.
Rubatto D, Gebauer D. 2000. Use of Cathodoluminescence for U-Pb Zir-con Dating by IOM Microprobe: Some Example from the Western Alps[M]. Cathodoluminescence in Geoscience. Heidelberg: Springer-Verlag Berlin, 373-400.
Sun S S, McDonough W F. 1989. Chemical and isotopic systematics of oceanic basalts: Implications for mantle composition and processes[J]. Geological Society, London, Special Publication, 42(1): 313-345.
Wan Y S, Xie S W, Yang C H, Kröner A, Ma M Z, Dong C Y, Du L L, Xie H Q, Liu D Y. 2014. Early Neoarchean (~2. 7 Ga) Tectonothermal events in the North China Craton: A synthesis[J]. Precam-brian Research, 247: 45-63.
Wan Y S, Zhang Y H, Williams I S, Liu D Y, Dong C Y, Fan R L, Shi Y R, Ma M Z. 2013. Extreme zircon O isotopic compositions from 3. 8 to 2. 5 Ga magmatic rocks from the Anshan area, North China Craton[J]. Chemical Geology, 352(5): 108-124.
Woodhead J D, Hergt J M, Davidson J P, Eggins S M. 2001. Hafnium iso-tope evidence for ‘conservative’element mobility during subduc-tion zone processes[J]. Earth and Planetary Science Leeters, 192(3): 331-346.
Wu F Y, Yang J H, Xu Y G, Wilde S A, Walker R J. 2019. Destruction of the North China Craton in the Mesozoic[J]. Annual Review of Earth and Planetary Sciences, 47: 173-175.
Yu Y, Li D P, Chen Y L, Kang H, Geng J Z, Xu S Y, Wang Y, Sun M S. 2021. Mantle cooling and cratonization of Archean lithosphere by continuous plate subduction: Constraints from TTGs, sanukitoids, and high-K granites, eastern North China Craton[J]. Precambrian Research, 353: 106042.
Zhai M G, Santosh M. 2013. Metallogeny of the North China Craton: Link with Secular Changes in the Evolving Earth[J]. Gondwana Re-search, 24: 275-297.
Zhai M G, Santosh M. 2011. The Early Precambrian Odyssey of the North China Craton: Asynoptic Overview[J]. Gondwana Research, 20: 6-25.
Zhao G C, Sun M, Wilde S A, Li S Z. 2005. Late Archean to Paleopro-terozoic evolution of the North China Craton: Key issues revisited[J]. Precambrian Research, 136(2): 177-202.
Zindler A, Hart S. 1986. Chemical geodynamics[J]. Annual Review of Earth and Planetary Sciences, 14(1): 493-571.
曹国权. 1996. 鲁西早前寒武纪地质[M]. 北京: 地质出版社, 1-27.
高剑峰, 陆建军, 赖鸣远, 林雨萍, 濮巍. 2003. 岩石样品中微量元素的高分辨率等离子质谱分析[J]. 南京大学学报(自然科学版), 39 (6): 844-850.
侯贵廷, 李江海, 金爱文, 钱祥麟. 2004. 鲁西地块早前寒武纪构造岩浆活动区划及演化的新认识[J]. 高校地质学报, 10(2): 239-249.
姜常义, 吴文奎, 张学仁, 崔尚森. 1995. 从岛弧向裂谷的变迁──来自阿吾拉勒地区火山岩的证据[J]. 岩石矿物学杂志, 14(4): 289-300.
菅坤坤, 高峰, 杜彪, 赵端昌, 王星, 何元方. 2018. 喀喇昆仑天文点地区辉长岩锆石U-Pb年代学、地球化学特征及其构造意义[J]. 矿产勘查, 9(9): 1693-1704.
刘树文, 包涵, 高磊, 孙国正, 王伟, 郭荣荣, 郭博然, 付敬浩, 胡雅璐, 白翔, 胡方泱. 2021. 华北克拉通中东部新太古代晚期变质火山岩及动力学体制[J]. 岩石学报, 37(1): 113-128.
刘树文, 吕勇军, 凤永刚, 张臣, 田伟, 闫全人, 柳小明. 2007. 冀北单塔子杂岩的地质学和锆石 U-Pb 年代学[J]. 高校地质学报, 13 (3): 484-497.
李婷. 2019. 鲁西新太古代早期变火山岩的地球化学特征及意义[D]. 北京: 中国地质大学(北京).
宋明春, 王沛成. 2003. 山东省区域地质[M]. 济南: 山东省地图出版社, 1-68.
孙宣艳, 韩宗珠, 艾丽娜, 刘明, 姜建新, 王晓明. 2018. 胶莱盆地中部及西南缘中生代火山岩岩石地球化学特征及成因研究[J]. 中国海洋大学学报(自然科学版), 48(S1): 93-105.
孙志远, 龙灵利, 王玉往, 杜杨松, 赵路通, 解洪晶, 李德东. 2016. 新疆景峡铜矿区火山岩地球化学特征与构造环境探讨[J]. 矿产勘查, 7(1): 53-64.
唐建科, 刘育, 张泽国, 何林武, 邓科, 段炳鑫, 王金贵. 2024. 罗布莎蛇绿混杂岩中堆晶辉长岩 U-Pb 定年、地球化学特征及其地质意义[J]. 矿产勘查, 15(6): 928-937.
万渝生, 颉颃强, 董春艳, 刘敦一. 2020. 华北克拉通太古宙构造热事件时代及演化[J]. 地球科学, 45(9): 3119-3160.
万渝生, 刘敦一, 王世进, 焦秀美, 王伟, 董春艳, 颉颃强, 马铭株. 2012. 华北克拉通鲁西地区早前寒武纪表壳岩系重新划分和 BIF形成时代[J]. 岩石学报, 28(11): 3457-3475.
王来明, 王世进, 宋志勇. 2021. 中国区域地质志·山东志[M]. 北京: 地质出版社, 1-90.
王玺, 刘坤, 姬果, 李欣, 李鑫浩, 任建德, 张建斌, 唐国胜. 2024. 内蒙古西乌旗地区寿山沟组流纹质砾石锆石U-Pb年龄及其意义[J]. 矿产勘查, 15(7): 1140-1152.
王跃, 周奇明, 张金龙, 周光峰. 2022. 鲁西新太古代地壳增生事件——来自花岗岩和二长花岗岩 U-Pb 年代学、Hf同位素和岩石地球化学的证据[J]. 吉林大学学报(地球科学版), 52(2): 463-485.
吴元保, 郑永飞. 2004. 锆石成因矿物学研究及其对 U-Pb 年龄解释的制约[J]. 科学通报, 49(16): 1589-1604.
杨承海. 2007. 鲁西中生代高镁闪长岩的年代学与地球化学: 对华北克拉通岩石圈演化的制约[D]. 长春: 吉林大学, 1-120.
杨帆, 陈岳龙, 于洋. 2022. 鲁西新太古代晚期正长-二长花岗岩成因及地质意义[J]. 现代地质, 36(4): 1155-1172.
翟明国. 2019. 华北克拉通构造演化[J]. 地质力学学报, 25(5): 722-737.
张旗, 李尚启, 刘元, 沈锐, 常昊, 火兴开, 晁文迪. 2024. 新疆南天山红柳沟辉长岩地球化学特征及地质意义[J]. 西北地质, 57(5): 248-258.
赵国春. 2009. 华北克拉通基底主要构造单元变质作用演化及其若干问题讨论[J]. 岩石学报, 25(8): 1772-1792.
朱日祥, 徐义刚, 朱光, 张宏福, 夏群科, 郑天愉. 2012. 华北克拉通破坏[J]. 中国科学(地球科学), 42(8): 1135-1159.
朱晓青, 侯方辉, 刘洪滨, 郭兴伟, 孙天本, 秦亚超, 安郁辉, 李凤春. 2021. 山东即墨马山粗面英安岩年代学与地球化学特征及其地质意义[J]. 海洋地质与第四纪地质, 41(6): 138-150.